首页/文章/ 详情

瞎琢磨:带壳和不带壳,哪种玉米更容易晒干?

1天前浏览21

1

玉米中的传热传质问题

国庆假期,许多人回到家乡,度过了一种“接地气”的假期——掰玉米。可今年的情况有点特殊,山东、河南、安徽一带在国庆前夕连下了几天雨,地里玉米湿漉漉的,迟迟不能收。于是,晒玉米成了假期主旋律。

 




但问题来了:有些玉米带着壳在晒,有些剥了壳直接摊开。看着它们一起躺在院子里,你可能会好奇——同样是淋过雨的玉米,到底哪种更容易晒干?

 
这个问题的答案似乎显而易见,今天我们来从传热和传质两个方面来详细分析一下  



2

传热传质的博弈

玉米晒干的过程,其实是一个经典的热质耦合传递问题。
简单来说,玉米内部的水分要经历三个阶段才能真正“离开”籽粒:

  1. 内部扩散——水分从籽粒内部向表面扩散;

  2. 表面蒸发——到达表面的水分蒸发成水汽;

  3. 对流带走——空气流动将蒸发出的水汽带走。


每一步都受热量供给和空气流动影响。如果把干燥速率表示为

 


其中 hm 是传质系数,A 是有效蒸发面积,ρv,s 和 ρv,∞分别是玉米表面和空气中的水汽密度。


简单来说,蒸发快不快,取决于三件事:

  • 表面积够不够大(A)

  • 表面温度够不够高(影响 ρv,s)

  • 空气流通够不够好(影响 hm和 ρv,∞)


3

去壳玉米的蒸发优势


3.1表面积优势

虽然去壳后单个玉米粒的表面积看起来小了,但别忘了:

玉米粒之间的间隙增加了有效蒸发面积


阳光可以照射到每一颗玉米粒的多个面

 


3.2传热优势

玉米壳相当于一层天然的“隔热被”,虽然它能保护籽粒不被雨水直接打湿,但在干燥时,它反而阻碍了空气流动和热量进入。
换句话说,玉米壳让热量和水分的交换“变慢”了。

如果把热传递类比为“能量的搬运”,那么带壳玉米的热通量 q 可以写成:

 

其中R壳是玉米壳的热阻。带壳时,R总变大,热流变小,水分蒸发自然也更慢。


3.3流体力学优势

这是最关键的一点!去壳后,边界层厚度大大减小。


什么是边界层?想象一下,当风吹过玉米表面时,紧贴表面的一层空气会被"拖住",形成一层流速较慢的空气膜,这就是边界层。边界层越厚,水蒸气向外扩散越困难。


对于去壳玉米,每颗玉米粒都是独立的小颗粒,边界层很薄:

 


其中 δ是边界层厚度,ν 是运动粘度,x 是特征长度,u 是风速。玉米粒的特征长度小,边界层薄,传质系数 hm大,蒸发快!



4

带壳玉米的蒸发 情况


4.1玉米壳的毛细作用

上面说了去壳玉米的很多优势,这样看来,似乎一定是去壳玉米更容易晒干了?


不过,事情并没那么简单。玉米壳并非完全封闭,它是一种多孔植物组织,由纤维素和木质素构成,内部充满微小的空隙。

 


这些空隙能够吸收一部分籽粒表面的水分,并通过毛细作用向外输送——这有点像“毛细抽湿”。根据Jurin定律,毛细管中液体上升的高度为:

 


其中γ 是表面张力;θ是接触角;r 是毛细管半径;ρ 是液体密度。


理论上,玉米壳可以通过毛细作用将玉米粒内部的水分"吸"到壳的表面,增大蒸发面积。这就像给玉米装了个"芯吸系统"。



4.2传输阻力太大

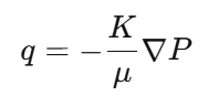
然而,理想很丰满,现实很骨感。在多孔介质中,液体流动遵循Darcy定律:

 


其中q是流量密度;K是渗透率(玉米壳的渗透率很小!);μ 是动力粘度;∇P是压力梯度


玉米壳虽然多孔,但孔隙率不高,渗透性差,水分传输速度慢。更糟糕的是,壳本身也需要干燥,这相当于增加了总体的水负荷。


4.3通风阻碍

最致命的问题是:玉米壳包裹着玉米粒,阻碍了空气流通。


从对流传热的角度看,对流换热系数h与雷诺数Re的关系为:

 


其中 Nu是努塞尔数,Pr是普朗特数。雷诺数越大(即风速越快、特征长度越大),对流换热越强。


但玉米壳的存在,使得空气无法直接接触玉米粒,相当于强制降低了局部风速,减小了对流传质效率。



5

人民群众的智慧

我们可以用一个简化的质量传递数值来对比:

 


农民伯伯的经验其实早已验证了这些物理规律:
晴天时,他们会把玉米壳掰开甚至全剥掉,加快干燥;
而在阴雨潮湿的天气里,反而保留玉米壳,防止籽粒吸湿发霉。

 


从传热学的角度看,剥壳让热量更容易传递;从流体力学的角度看,剥壳增强空气扰动和蒸发;从多孔介质理论看,玉米壳虽能吸水扩散,但总体“隔热隔风”。



所以答案是:去壳玉米更容易晒干,但带壳玉米更安全。


这个国庆,你回家掰玉米了吗??


最后声明一下:本文仅为科普性质,不构成农业生产建议。具体操作请结合当地气候条件和传统经验。

来源:Fluent学习笔记


多孔介质农业理论科普
著作权归作者所有,欢迎分享,未经许可,不得转载
首次发布时间:2025-10-17
最近编辑:1天前
Fluent学习笔记
博士 签名征集中
获赞 167粉丝 496文章 181课程 5
点赞
收藏
作者推荐
未登录
还没有评论
课程
培训
服务
行家
VIP会员 学习计划 福利任务
下载APP
联系我们
帮助与反馈