首页/文章/ 详情

六面体传热单元Matlab有限元编程:三大类边界条件和体积热源(下篇)

2小时前浏览5
导读:上篇文章《六面体传热单元Matlab有限元编程:三大类边界条件和体积热源(上)》,配合我的视频课程《热传导问题Matlab有限元编程》第5~7讲,继续带大家了解三维传热问题控制方程(三维泊松方程)、单元类型选择(八节点六面体)、形函数构造(自然坐标下的双线性形式)、等参变换的实质(坐标-函数用同一形函数映射)、热导率矩阵和热载荷的积分计算(高斯积分离散有限元积分表达式)、边界条件处理(三类边界在三维表面的积分),以及组装求解的通用流程等内容。由于内容较多,因此分为上下两篇,上篇重点介绍相关的有限元理论及公式的推导,而本篇则侧重编程实现方法最终保证Matlab传热有限元程序的求解精度对标ANSYS中的solid70单元,误差小于1%。
01    

有限元离散化详细推导    

六面体传热单元Matlab有限元编程:三大类边界条件和体积热源(上)》已经对三维瞬态热传导问题的刚度矩阵、比热矩阵和边界条件有限元积分表达式的推导进行了详细的介绍,因此本节重点对这些积分表达式改写为基于等参单元的离散求和的表达式,为编程做准备。
1.1 单元形函数与等参变换
对于八节点六面体单元,采用等参变换方法,基于等参单元的形函数定义,即在自然坐标系中,形函数为:
其中是节点在自然坐标系中的坐标,取值为±1。
等参单元中形函数的物理意义:形函数表示节点对单元内任意点物理量的”贡献权重”,满足:(克罗内克δ函数)(单位分解性)
有限元中的等参变换包含物理坐标系和自然坐标系之间的坐标映射和温度场插值,基于此可以推导出偏导数和积分的映射关系。
坐标映射:
温度场插值:
其中: 为形函数矩阵(1×8),为单元节点温度向量(8×1)
1.2 温度梯度矩阵
温度梯度计算本质上就是物理坐标系和自然坐标系之间偏导数的映射关系:
其中 是温度梯度矩阵(3×8),其分量为:
由于形函数定义在自然坐标系中,需要用到雅可比矩阵进行坐标变换:
形函数对物理坐标的导数:
体积微元变换:
其中是雅可比矩阵的行列式。
1.3 热导率矩阵(刚度矩阵)的离散表达式
热导率矩阵类比结构力学有限元理论中的刚度矩阵,根据变分原理,热传导项贡献的单元矩阵为:
其中是热导率矩阵,对于各向同性材料:
热导率矩阵表示单元内部热传导能力,矩阵元素表示节点和节点之间的”热耦合强度”。
为了有限元编程,需要对积分表达式进行离散,在自然坐标系中的离散形式:
其中::高斯积分点数量; :第个高斯积分点的自然坐标:对应的积分权重。
1.4 比热矩阵(质量矩阵)的离散表达式
比热矩阵类比结构动力学有限元理论中的质量矩阵,因此在传热学中,只在瞬态热传导问题中起作用,瞬态项贡献的单元矩阵:
表示单元的热容特性,描述温度变化率与热流之间的关系。为了有限元编程,需要对积分表达式进行离散,其离散形式:
1.5 体积热源(热河在)的离散表达式
体积热源可以类比结构力学有限元中的体力载荷:
为了有限元编程,需要对积分表达式进行离散,其离散形式为
其中::高斯积分点数量; 为第个高斯积分点的自然坐标; :对应的积分权重。
1.6 边界条件载荷向量离散表达式的详细推导
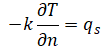
热通量边界条件(第二类边界条件)载荷向量:在边界上,已知热通量的边界条件为:
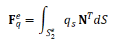
该项在弱形式中贡献的载荷向量为:
表示通过边界 流入单元的热流量在节点上的等效分配。
为了有限元编程,需要对积分表达式进行离散, 对于边界面的积分,我们需要使用二维高斯积分。假设边界面是六面体单元的一个面,该面有4个节点,我们使用四节点四边形单元的形函数。
设边界面在自然坐标系中的参数为,则离散形式为:
其中: :边界面积分的高斯积分点数量;:边界面上的高斯积分点坐标:对应的积分权重; :边界面的雅可比行列式,表示从自然坐标到物理坐标的面积比例关系
对流边界条件(第三类边界条件)的贡献:
在边界上,对流边界条件为:
该条件贡献两部分:对流矩阵(附加刚度项)和对流载荷向量:
:表示对流换热对系统刚度的贡献,增加系统的热交换能力; :表示环境温度通过表面对流换热传入单元的热流量在节点上的等效分配
为了有限元编程,需要对积分表达式进行离散,同样使用二维高斯积分:
1.7 最终的系统方程
稳态热传导问题的有限元方程为:
其中::整体热导率矩阵(由各单元组装而成); :整体对流矩阵(由边界单元组装而成);:整体节点温度向量;:整体热载荷向量(包括体积热源、热通量边界、对流边界贡献)
瞬态热传导问题的有限元方程为:
其中是整体比热矩阵(由各单元组装而成)。
1.8 第一类边界条件(固定温度边界)的处理
对于固定温度边界条件,常用的处理方法为直接法(置一法),具体步骤:
  • 对于固定温度节点,设其温度为
  • 修改整体刚度矩阵 ;  将第行和第列除对角线元素外都设为0 ;将对角线元素设为 1,
  • 修改右端向量 :-将设为- 对于其他行
02    

Matlab 程序实现的完整框架    

基于上一节各矩阵的离散表达式,本节罗列了部分离散表达式的matlab计算程序,大家可以对照这些离散表达式和程序来理解其程序化的方法。
2.1 热导率矩阵





























































function Ke = elementStiffness(nodes, kx, ky, kz, n_gauss)% 计算单元热导率矩阵% nodes: 8x3 节点坐标% kx,ky,kz: 热导率% n_gauss: 高斯积分点数量[gp, gw] = gaussPoints3D(n_gauss);Ke = zeros(8);for i = 1:length(gw)xi = gp(i,1); eta = gp(i,2); zeta = gp(i,3);[N, dNdxi, dNdeta, dN_dzeta] = shapeFunctions3D(xi, eta, zeta);J = [dNdxi'  nodes(:,1), dNdxi'  nodes(:,2), dN_dxi' * nodes(:,3);dNdeta'  nodes(:,1), dNdeta'  nodes(:,2), dN_deta' * nodes(:,3);dNdzeta'  nodes(:,1), dNdzeta'  nodes(:,2), dN_dzeta' * nodes(:,3)];detJ = det(J);invJ = inv(J);% 形函数对物理坐标的导数dNdx = invJ(1,1)dNdxi + invJ(1,2)dNdeta + invJ(1,3)*dNdzeta;dNdy = invJ(2,1)dNdxi + invJ(2,2)dNdeta + invJ(2,3)*dNdzeta;dNdz = invJ(3,1)dNdxi + invJ(3,2)dNdeta + invJ(3,3)*dNdzeta;B = [dNdx'; dNdy'; dN_dz'];D = diag([kx, ky, kz]);Ke = Ke + gw(i)  (B'  D  B)  detJ;end
2.2 比热矩阵










function Ce = elementMass(nodes, rho, c, n_gauss)% 计算单元比热矩阵Ce = zeros(8);[N, ~, ~, ~] = shapeFunctions3D(xi, eta, zeta);J = jacobian3D(xi, eta, zeta, nodes);Ce = Ce + gw(i)  rho  c  (N  N') * detJ;
2.3 体积热源







function FQe = elementHeatSource(nodes, Q, n_gauss)% 计算单元体积热源载荷FQe = zeros(8,1);FQe = FQe + gw(i)  Q  N * detJ;End
2.4 热通量边界载荷












function Fqe = elementHeatFluxBC(faceNodes, qs, n_gauss)% 计算热通量边界载荷% faceNodes: 4x3 边界节点坐标[gp, gw] = gaussPoints2D(n_gauss);Fqe = zeros(4,1);xi = gp(i,1); eta = gp(i,2);[N, ~, ~] = shapeFunctions2D(xi, eta);Js = jacobian2D(xi, eta, faceNodes);detJs = norm(Js);Fqe = Fqe + gw(i)  qs  N * detJs;

以上就是关于六面体单元的有限元方程的推导和编程实现方法。更多内容可参考我的热传导问题Matlab有限元编程视频课程!

03    

热传导问题Matlab有限元编程      

     

回到我们的课程,热传导分析是工业设计的重要支柱,从电子芯片的散热优化到航天器的热防护设计,从金属成型的热处理到建筑节能的温度场模拟,这些看似迥异的工程问题背后都遵循着相同的传热学规律。

本课程将带您突破有限元在结构力学领域的应用范围,在Matlab平台上构建全新的传热问题的有限元求解体系,并通过解决热固耦合问题,将有限元在传热领域和结构力学领域的应用融会贯通,最后你会惊喜地发现:无论是热传导方程还是结构力学方程,其有限元求解的本质,竟都扎根于偏微分方程的数值离散之道。以下是我认为学习这门课程价值所在:

1、全链路实战:从理论到工业级代码落地。课程内容覆盖传热学基础、有限元弱形式推导、稳态 / 瞬态求解、热固耦合等核心理论,配套 2D/3D 单元(tri3/quad4/tet4/hex8)代码实现,对标 ANSYS 精度(误差 <1%),真正做到 “理论懂原理,编程能上手”。

2、破解商业软件 “黑箱”:掌握结果背后的逻辑。深入讲解三类边界条件(固定温度、热流密度、热对流)、体积热源施加的底层算法,让你理解仿真结果的误差来源、合理性判断依据,不再盲目依赖软件输出。针对非常规问题(如特殊热源、复杂耦合场景),教你开发专用工具,满足科研中的参数化研究、优化设计等定制需求,为论文或项目提供独家数值支持。

3、热固耦合全掌握:从温度场到应力场一站式求解。涵盖间接耦合(先求温度场再算热应力)和直接耦合(同步求解温度、位移、应变场),完整复现工业级热 - 结构耦合仿真流程,适应机械、航空航天等多领域需求。

图片

4、超全学习包:省时省力高效进阶。随课附赠课程讲义、案例源码、理论文本及 30 余本经典有限元教材,理论资料   实战代码无缝衔接,加速学习进程(在入VIP群领取)

5、多场景适配:满足不同群体核心需求包括:

(1)研究生:获得论文所需的数值工具和结果;

(2)工程师:提升对商业软件结果的解读能力;

(3)开发者:掌握行业必备的热仿真编程技能,增强技术竞争力。

6、本课程还为付费用户提供VIP群 交流、答疑服务、持续加餐内容、提供定制化培训和咨询服务、仿真人才库岗位推荐就业、仿真秀还提供奖学金、学完此课程,推荐学习者报名参加“工程仿真技术(CAE分析师)职业能力等级评价考试”。


课程可随时回放,可开具发票

讲师提供vip群知识圈答疑和模型下载

热传导问题Matlab有限元编程

    
图片

虽惯用代码与方程丈量世界,却总被文字的温度所触动。近日偶得几行箴言,恰似为这门传热有限元课程而生,愿以它作结,献给在科学与诗意间穿行的你。"当矩阵的严谨拥抱热流的恣意,当循环的秩序邂逅温度的跃迁,我们终将明白:有限元不仅是求解偏微分方程的工具,更是工程师写给物理世界的情书。

为了帮助读者朋友更好学习Matlab有限元编程,欢迎大家分享到朋友圈收藏本文,截图发到本公众 号后台,我会在24小时内,手动转发您以下Matlab学习资料。您也可以自行去仿真秀学习资料搜索下载。

图片    
图片    


来源:仿真秀App
FluxAbaqus通用航空航天建筑电子MATLAB声学理论材料控制ANSYS
著作权归作者所有,欢迎分享,未经许可,不得转载
首次发布时间:2025-10-14
最近编辑:2小时前
仿真圈
技术圈粉 知识付费 学习强国
获赞 11338粉丝 22713文章 3984课程 239
点赞
收藏
未登录
还没有评论
课程
培训
服务
行家
VIP会员 学习计划 福利任务
下载APP
联系我们
帮助与反馈