首页/文章/ 详情

锂电池电芯真空烘烤模拟

3小时前浏览1
来源:锂电联盟会长


在锂离子电池生产过程中,将正负极片辊压绕卷再放入电池盒之后,须对锂电池电芯极组进行烘烤干燥。众所周知,水分对锂电池的性能影响是最大的,需要注液前在装配车间将锂离子电池电芯内部的水分去除,以免影响锂电池质量。


在电芯烘烤的负压环境之中,电芯盛放在烘烤箱内架体上,通过充入惰性气体进行烘烤干燥处理。然而在实际烘烤过程中由于电芯内部的温度与水分变化过程并不可见,导致了烘烤箱内部环境与烘烤时间的盲目性,便直接影响了电池质量,这种影响是电芯注液与最终的电池烘烤等后期工艺挽回不了的。


因此对电芯在烘烤时电芯内部的温度变化与水分蒸发的研究十分有必要。待烘烤电芯只有上端供有注电解液的开口,水分几乎也是通过电芯上端蒸发去除,电芯暴露于传热辐射和惰性气体的对流传导,传热到电芯过程中,一方面用于提高电芯温度另一方面用于电芯内自由水蒸发。其蒸发位置示意图与某型号电芯尺寸如图1所示。


图片

图 1 电芯烘烤示意图


电芯烘烤热传导理论分析

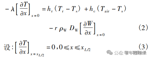
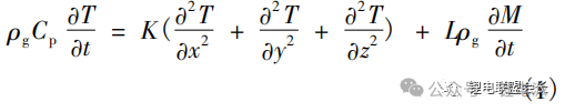
在烘烤过程中,热源在烘烤箱上端,电芯与烤箱上下夹板之间留有一定间隙,用于保证电芯拥有合适的烘烤温度,也利于蒸发的水分通过间隙扩散出烤箱以外。电芯在烘烤时的温度变化可通过傅里叶热传导定律计算

图片

式中,ρg为电芯内部正负极片平均密度; Cp为电芯比热容; T为电芯温度; K为电芯热传导热效率; x、y、z为空间坐标函数; L为电芯内部的水分气化潜热; M为电芯内部水分含量。电芯的边界条件设定为

图片


式中,Tr、Ts、Tair分别为烘烤箱内热源设定温度、电芯表面温度、烘烤箱内部环境温度; DW为电芯内部水分扩散系数;ρW为液态水密度。

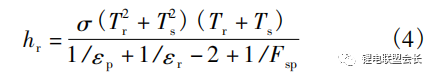
热传导系数分为2部分,hr为热辐射源热传导系数,hc为烤箱内对流热传导系数,其中

图片


式中,σ为斯蒂芬-玻尔兹曼常数; hc=0.5; εp与εr分别为电芯与热源的热辐射系数; Fsp为烤箱电芯外两个平行夹板的形状系数,其计算公式为

图片


式中Lsp为烤箱内热源与电芯表面之间的距离; asp与bsp为电芯长度与宽度,其中各系数由上列结果带定。


为便于分析说明电芯不同位置温度与水分变化,将电芯分为表面、中间与底部三个部分,电芯表面部分离热源最近。计算可得到不同时刻电芯三个部分的温度变化,如图2所示。

图片

图 2 电芯内部温度与时间变化曲线图



结果表明: 在烘烤开始时,电芯各个部位测量均为慢慢升高的趋势,表面温度升高最快,底部升高最慢,烘烤近95 min左右后,电芯各个部位逐渐达到最高温度,与烤箱内部温度达到一致。


电芯水分蒸发机理研究

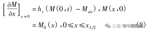
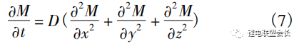
水份的蒸发过程中,浓度梯度的作用效果对干燥的影响不仅只发生在表面,对内部依然具有相同影响。针对电芯的水分蒸发扩散过程可以参照菲克定律来计算

图片


式中: D为电芯内部的水分有效扩散系数,其中同时包含了水分与水蒸汽扩散。由于电芯水分含量微乎其微,烘烤过程中的温度也不会造成电芯的属性变化,所以水分烘干过程中电芯材料的压缩量与物理化学变化完全可以忽略。设定边界条件为

图片


式中,Mair与M0分别为初始状况下烘烤箱内部与电芯中的水分含量;hv为电芯内部的水分传至烤箱环境中的传递系数。


电芯内部的水分蒸发过程可通过CFD仿真软件进行简化的二维仿真进行分析,但是对于复杂的流动问题,仅靠Fluent自带的模型、初边界条件和材料物性不可能完成实际需要,这就需要利于函数进行控制。UFD使用DEFINE宏来定义,通过C语言编写,将电芯内部的温度与水分传递函数与边界条件通过编程后,将编写好的UFD加载到Fluent之中。其顺序流程如图3所示。

图片

图 3 烘烤电芯水分蒸发 Fluent 仿真流程图


运用fluent仿真软件对指定尺寸电芯内部进行水分蒸发速度的仿真分析,结果如图4所示。

图片

图 4 不同时间电芯内部水分蒸发速度仿真结果


通过计算,在电芯烘烤过程中的电芯3个不同部位的含水量结果,如图5所示,假设电芯在烘烤之前,各个横纵截面含水量一致。

图片

图 5 电芯内部含水量与时间变化曲线图


结果表明: 在烘烤开始时,电芯表面水分蒸发速率便很快,之后含水量慢慢减少趋于平缓,电芯中间部分在烘烤开始20 min左右蒸发速度达到最大值,而电芯底部在烘烤开始时水分蒸发并不明显,在烘烤50 min左右水分含量降低最为明显。电芯烘烤过程的数值计算参数值如表1所示。


表 1 电芯烘烤过程计算参数值

图片

结论

电芯在注液前的真空烘烤去除水分过程十分重要,电芯内部的温度变化与水分含量可分别通过傅里叶热传导定律与菲克定律研究分析得到,对电芯实际烘烤过程研究与烘烤工艺提升均具有指导意义。


针对指定尺寸锂电池电芯,温度变化从电芯表面至底层随着时间均均匀升高,在95 min左右整个电芯达到烘烤指定温度; 电芯含水分变化则不同,烘烤开始时电芯表面水分去除最快,在中后期含水量随平稳但是并未达到指定低的含水量,其原因为电芯中部与底部的水分均从表面散发出去,电芯底部则在烘烤中后期水分去除达到最大值,在烘烤最后整个电芯达到标准含水量。


来源:锂电芯动
Fluent化学理论材料控制装配
著作权归作者所有,欢迎分享,未经许可,不得转载
首次发布时间:2025-10-18
最近编辑:3小时前
锂电芯动
博士 中科院博士,电芯仿真高级工程师
获赞 4粉丝 8文章 35课程 0
点赞
收藏
作者推荐

MATLAB vs. Python:在COMSOL联合仿真战场,谁是真正的王者?

在复杂的COMSOL多物理场仿真领域,每一位工程师和科研人员都追求更高的效率、更强的灵活性和更深度的定制化。当手动操作的“点选式”建模遇到瓶颈,借助外部编程语言实现自动化、参数化扫描和深度数据分析,便成为了从“熟练”迈向“精通”的必经之路。在这条进阶道路上,MATLAB与Python无疑是最主流的选择。那么,二者在COMSOL联合仿真中究竟有何差异?本文将从交互机制、建模权限、后处理能力与模型透明度四个核心维度展开剖析,帮助您找到最契合自身需求的工具。一、交互机制——“双向耦合”vs“外部驱动为主”MATLAB与COMSOL的交互是一种“双向耦合”。得益于LiveLink™forMATLAB,MATLAB不仅能调用COMSOL的所有功能实现自动化建模,COMSOL在求解过程中还可以调用MATLAB的函数(如自定义材料属性或复杂算法)。这种双向数据交换与函数调用,使两者真正形成了一个统一的计算环境。Python与COMSOL的连接主要依赖API调用,更偏向“外部驱动”。它可以修改参数、启动计算并读取结果,足以胜任批量仿真与自动化任务。但由于COMSOL无法直接在求解过程中调用Python函数,因此在“实时双向交互”上略逊一筹。二、建模流程的权限——“全流程控制”vs“灵活修改”MATLAB能够实现从零开始的“全流程控制”:几何建模、网格划分、物理场设置到求解器配置,均可通过代码完成。这为拓扑优化、几何参数化扫描等高级应用提供了极大便利。Python同样具备建模能力,但更多用户习惯于基于已有模型(.mph文件)进行参数修改、载荷变更与批量求解。这种方式灵活高效,适合大规模参数化扫描。但若涉及复杂几何的全流程自动化建模,Python的文档与工具链支持相对不足,需要更多编程经验。三、后处理与可视化——“原生集成”vs“多元生态”MATLAB在数据处理和可视化方面的优势毋庸置疑。它拥有强大的内置函数库和成熟的绘图引擎,可轻松实现出版级质量的可视化,并在大规模数据处理上表现稳定高效。Python的后处理能力则体现为“多元生态”。NumPy、Pandas、Matplotlib、Plotly等库组合起来同样能完成复杂分析和高质量可视化。虽然需要一定的环境配置与接口适配,但其开放性和扩展性极强,尤其在与机器学习、优化算法结合时表现突出。这对电芯仿真中的参数辨识、健康状态预测和数据驱动模型尤为有价值。四、模型透明度——“深度洞察”vs“实用操控”在LiveLink™环境中,MATLAB对COMSOL模型的访问更透明。用户可以利用Navigator和ModelSearch等工具访问ModelObject的每个节点,甚至结合EquationView获取底层PDE方程信息。这为学术研究、模型验证和新物理场开发提供了强有力的支持。Python也能通过API访问模型结构和参数,足以应对大部分自动化任务。但在底层方程透明度与模型审查工具上,其便利性与深度不及MATLAB,更适合作为高效操控与批处理的利器。结论如果您的重点是深度耦合COMSOL、全流程程序化建模以及高可信度的学术研究,MATLAB无疑是更稳妥的选择。如果您更关注灵活性、开源生态以及与人工智能和优化算法的结合,Python则展现出极大的潜力。与其说谁是绝对的“王者”,不如说二者是不同战场上的利器。理想情况下,熟悉并掌握两者,将为您的COMSOL仿真带来更广阔的可能性。那么,在您的仿真实践中,更偏爱哪种工具?欢迎在评论区分享经验,让我们一起探讨更高效的仿真工作流!来源:锂电芯动

未登录
还没有评论
课程
培训
服务
行家
VIP会员 学习计划 福利任务
下载APP
联系我们
帮助与反馈