首页/文章/ 详情

PCB焊点热循环失效分析和改进设计

4小时前浏览8

∗ 苏佩琳, 李 涛, 彭雄奇


摘要

        本文针对PCB(印制电路板)焊点在高低温热循环下的失效问题,提出了一种在芯片边角下加锡块的改进设计方案。通过实验测得FR-4的弹性模量和热膨胀系数,运用有限元方法模拟PCB在高低温循环下的应力应变,并用修正的Coffin-Manson经验方程计算焊点的热循环寿命。结果表明,改进设计显著降低了焊点的最大等效塑性应变,提高了热疲劳寿命。

关键词:PCB;热循环;有限元模拟;疲劳寿命


引言

        印制电路板(PCB)是重要的电子部件,其在高低温循环中交替膨胀和收缩,由于芯片、焊点和基板材料热膨胀系数的不匹配,内部会产生热应力和应变,长期作用下导致焊点因疲劳而失效。传统结构的PCB焊点寿命不足500次循环,本文提出改进设计,通过在芯片边角下加锡块,限制焊锡与上下板之间的变形不协调,以提高焊点寿命。


1 热循环冲击试验

        PCB高低温循环热冲击试验采用的加载曲线如图1所示,温度范围为-40℃到125℃,升降温速率为20℃/min,保温时间为30分钟。PCB在循环中产生热应力和应变,导致焊点疲劳破坏,常见的焊点失效形式如图2所示。

图1 热循环加载曲线

图2 PCB焊点破坏形式


2 材料参数测定

        热应力仿真需要确定PCB各种材料的热力学参数,包括密度、弹性模量、泊松比、热膨胀系数等。部分参数由厂商提供,而FR-4的弹性模量和热膨胀系数则通过实验测定。

2.1 弹性模量测定

        通过拉伸实验测定FR-4在不同温度下的弹性模量。实验选用带恒温箱的微机控制电子万能试验机,试样和仪器如图3所示,应力-应变曲线如图4所示。实验结果列于表1。


图3 拉伸实验试样及仪器

图4 应力-应变曲线

温度T(℃)弹性模量E(GPa)
-408.28
08.01
257.92
606.71
1256.37

2.2 热膨胀系数测定

        用热膨胀仪测定FR-4在25~125℃下的热膨胀系数,分别测量平面方向(x/y)和厚度方向(z)。试样和仪器如图5所示,热膨胀系数变化曲线如图6所示,结果见表2。


图5 热膨胀实验试样及仪器

图6 热膨胀系数变化曲线

温度T(℃)x/y方向热膨胀系数(10⁻⁶/℃)z方向热膨胀系数(10⁻⁶/℃)
-4014.351.2
2514.351.2
5517.274.3
12518.781.3


3 有限元模型建立

3.1 三维模型

        根据PCB实际结构,建立传统结构模型(model 1)和边角加锡块的改进模型(model 2)。两模型均由芯片、焊锡、铜层和FR-4层组成,考虑对称性,建立1/4有限元模型,如图7所示。

图7 三维模型

3.2 材料模型

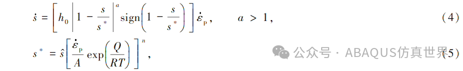
芯片材料、铜和FR-4均采用线弹性模型,焊锡材料SAC305表现为粘塑性,满足Anand本构模型的以下方程:

其中, c 为与温度和应变率相关的函数, s0 为变形抗阻 s 的初始值, s ∗ 为给定温度和应变率下 s 的饱和值;a 为硬化 / 软化的应变率敏感指数,h0 为硬化 / 软化常数,εp 为非弹性应变. c 是温度和应变率的函数,表达式为:

其中, ξ 为应力乘子, εp 为非弹性应变率,A 为指数因数,Q 为激活能,R 为普适气体常数,T 为 绝对温度,m 为应变率敏感指数. 变形抗阻 s 的演化方程表示为:

其中, s 为系数,n 为变形阻抗饱和值的应变率敏感指数. 根据上述 Anand 本构方程知,一共有 9 个参数:s0 ,Q,A,ξ,m,h0 ,s,n 以及 a, 各项数值 见表 4.

表3列出了PCB材料的线弹性参数,表4为SAC305的Anand本构参数。

表3 线弹性材料参数

表4 焊锡SAC305粘塑性Anand参数


3.3载荷与边界条件

        模拟热循环冲击试验,温度循环加载在外部节点上。由于焊点的热膨胀和应力集中主要发生在焊点与基板界面,因此采用以下边界条件:
  1. 约束底部PCB基板的竖直方向位移以限制整体移动;
  2. 对称面施加对称边界条件;
  3. 温度循环加载采用瞬态非线性分析。


4 计算结果与比较

4.1 温度场

PCB表面与内部最大温差可达6~8℃,如图8所示。


图8 PCB温度分布

4.2 应力应变

焊点von Mises应力云图如图9,最大应力集中在边角焊点根部。模型1的等效应力稍大于模型2,如图10所示;模型1的塑性剪切应变范围也大于模型2,如图11所示。

图9 von Mises应力云图

图10 等效应力变化曲线

图11 塑性剪切应变变化曲线

4.3 疲劳寿命预测

根据修正的Coffin-Manson方程,可评估焊点的热疲劳寿命:

式中, Nf 为焊点的热疲劳寿命,Δγp 为每个热疲劳周期中焊点内累积的最大塑性剪切应变范 围,εf 为疲劳韧性系数,这里取 0.325;c 为疲劳韧性指数,与热循环的温度和频率有关,如式 (2)所示:

计算结果见表5。

表5 两模型疲劳寿命预测情况

模型应变范围Δγₚ预测寿命Nₓ结果
模型10.049256次不合格
模型20.029892次合格(>500)


5 结论

  1. PCB内部温差加剧了变形不协调。

  2. 边角焊点根部为应力集中区域。

  3. 改进模型中,corner pad有效减小了焊点处的应力和应变。

  4. 改进模型的疲劳寿命大幅提高,达到了质量标准。


来源:ABAQUS仿真世界
疲劳非线性电路电子芯片材料控制试验
著作权归作者所有,欢迎分享,未经许可,不得转载
首次发布时间:2025-10-19
最近编辑:4小时前
yunduan082
硕士 | 仿真主任工程... Abaqus仿真世界
获赞 180粉丝 328文章 410课程 0
点赞
收藏
作者推荐

《Mechanics of Solid Polymers》5.3.10 八链模型(续)

例子:使用不同数值方法的逆朗之万函数的实现朗之万函数的定义为:该函数的逆函数被称为逆朗之万函数L⁻¹(x),无法用基本函数表示。如上所述,为了数值计算EC模型的应力,需要求解逆朗之万函数。这可以通过方程(5.112)使用数值方程求解器来完成,例如牛顿法。然而,这种方法计算成本较高,因此开发了多种更快的近似方法。Arruda和Boyce[28]开发的一种方法是将逆朗之万函数表示为级数展开:该函数也可以使用Padé近似[30]:另一种方法由Bergstrom[23]开发,他将函数响应分为两个区域。对于|x|<0.84136的值,函数用基于tan函数的曲线拟合表示,对于0.84136≤|x|值,函数用其渐近形式表示:这些不同的近似方法在图5.20中进行了比较,表5.3给出了各近似方法精度的比较。这些数值近似之间的差异可能看起来更像一个学术问题而非重要的实际问题,但由于不同的有限元软件决定以不同方式实现逆朗之万函数,这个问题变得重要起来。例如,Abaqus使用级数展开,而PolyUMod库[31]使用更精确的Bergstrom解法。图5.20展示了计算逆朗之万函数的不同方法的比较。表5.3比较了不同方法在计算逆朗之万函数时的误差:近似方法在x=0.7时预测的相对误差Bergstrom近似0.06%5项级数展开18.5%Padé近似4.3%换句话说,很难将EC模型的参数从一个有限元求解器转换到另一个。可能需要为每个特定的有限元软件包重新校准模型。示例:高斯链对于高斯链(而不是朗之万链)情况下的EC模型,其本构关系可以通过用其级数展开的第一项替换逆朗之万函数直接得到:这样可以得出单轴拉伸应力的表达式:这与NH模型(方程(5.74))得到的是一样的。来源:ABAQUS仿真世界

未登录
还没有评论
课程
培训
服务
行家
VIP会员 学习计划 福利任务
下载APP
联系我们
帮助与反馈