首页/文章/ 详情

声学测试之倍频程(Octave)分析

5小时前浏览2

前言

等比例带宽分析(Constant Percentage Bandwidth, CPB)是信号分析中一类常见的频域分析方法,这类方法以中心频率的固定百分比作为每个频段的带宽(例如百分比设为20%,则中心频率1000Hz处的频段带宽为200Hz)。倍频程分析(Octave )属于CPB分析的一种(特定的中心频率和带宽比例),是振动噪声分析中较为常见的分析手段,广泛应用于环境噪声监测、噪声识别与治理、结构的声学设计和传递路径分析等诸多领域。本文将介绍倍频程的频带划分规则、幅值计算方法,最后使用NTS.LAB测试分析平台的特征信号处理模块来说明倍频程的具体分析过程。

1.倍频程频带划分

1.1倍频程带

一个倍频程带由中心频率fc、下限频率fl、上限频率fu组成:

 

                                              图片1.png

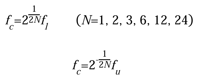
上、下限频率和中心频率有如下比例关系:

公式1.png

1.2频带等分

上一节中划分出的频带称为1/1倍频程带,如果将各倍频程带按照等比宽度分为N段则得到1/N倍频程带。常见的倍频程带有1/1、1/3、1/6、1/12、1/24,下图所示为1/3倍频程带:

图片2.png

(图中的间距实际为等比例间隔)

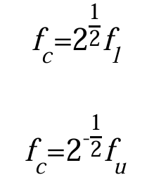
1/3倍频程带的上、下限频率和中心频率有如下关系:

公式2.png

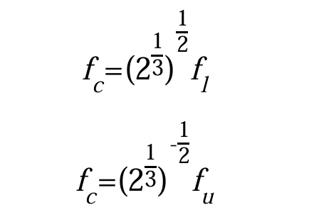
由此延伸到1/N倍频程带的计算公式如下:

公式3.png

1.3中心频率

在上一节中,通过对倍频程带的说明,我们知道了中心频率与上下限频率之间的关系。那如何确定每个倍频程带的中心频率的倍频程带是连续的?第i个倍频程带的上限频率为第i+1个倍频程带的下限频率,由此可得到两个相邻中心频率的关系如下:

公式4.png

由此我们可以根据一个中心频率计算出所有中心频率。此时我们需要一个基准频率来进行计算。

在取中心频率fc时,由于频率1000Hz为声学测量中所用频率系列的基准频率,我们将1000Hz的频率索引设置为0,小于1000Hz的频率索引为负,大于1000Hz的频率索引为正,得到如下中心频率计算公式:

公式5.png

在上面的推导中,两个相邻中心频率之间相差2的幂次倍。但在实际声学测量中,通常使用10的幂次倍进行计算:

公式6.png

1.4标准值

下图为《GB 3240-82》中1/3倍频程的中心频率表:

图片3.png

在上表中我们可以看到一列“标称值”,这是因为在实际计算过程中结果存在误差,为了在工程应用中保持不同场景、测试数据的兼容性,使用《ISO 3-1971 优先数》中规定的系列方法对准确值进行简化。在实际使用时,中心频率使用标准中规定的标称值来进行数据表示。

2.   倍频程的幅值计算

在获得原始信号后,可对原始信号进行预处理,提高信号的质量,然后对处理后的信号进行倍频程计算。当然,预处理步骤为可选项,应当视情况确定是否执行。计算倍频程的方法分为时域滤波方法和频域计算两种,下面对其计算过程进行说明。

2.1数据预处理

对原始时域信号进行预处理的常用手段包括:

(1)去直流分量:通过减去信号均值,消除直流成分对信号分析的干扰;

(2)频率滤波:根据具体的分析需求,使用滤波器(低通/高通/带通/带阻)滤出需要分析的频率成分;

(3)去除趋势项:若信号存在线性漂移(如温度导致的基线偏移),可通过线性拟合减去趋势项。

2.2时域计算方法

(1)设计倍频程带通滤波器组

为每个倍频程频段设计符合标准(如IEC 61260、ANSI S1.11)的带通滤波器:

通带:覆盖目标频段(f1~f2),增益波动≤1dB;

阻带:通带外衰减≥40dB(抑制其他频段信号);

滤波器类型:常用巴特沃斯(Butterworth)滤波器或切比雪夫(Chebyshev)滤波器,阶数通常为4~8阶。

(2)时域信号滤波

将输入的时域信号x(t)通过每个带通滤波器,得到各倍频程频段的时域信号xi(t)i 为频段序号)。例如:对1/1倍频程,信号通过中心频率31.5Hz的滤波器后,得到31.5Hz频段的时域信号;信号通过63Hz滤波器,得到63Hz频段信号,以此类推,得到所有分析频段的时域信号。

(3)计算频段倍频程值

计算各频段对应的滤波信号的RMS值,然后将其转换成各种目标格式(如声压级、能量级等)。

2.3频域计算方法

(1)快速傅里叶变换(FFT)

输入的时域信号x(t)进行快速傅里叶变换(FFT),得到频谱X(f)

(2)划分倍频程频段的频带范围

根据中心频率fc确定每个频段的下限fl和上限fu,并在频谱X(f)中定位该范围对应的频率点。

(3)计算频段倍频程值

计算各频段对应的滤波信号的RMS值,然后将其转换成各种目标格式(如声压级、声功率级、能量级等)。

3.   应用案例

在倍频程图中可根据柱形变化趋势,快速识别和分析出声音信号中的特征频率成分。适当的倍频设置,能更加直观、简洁地展示声音信号的变化情况。下面使用汉航NTS.LAB测试分析平台中的特征信号处理模块来介绍倍频程分析方法的使用步骤。

(1)在汉航NTS.LAB分析软件中加载数据,选择“特征信号处理模块”。

(2)在软件顶部导航栏点击“数据选择”按钮进入数据选择页面,双击数据列表中需要查看或编辑的信号,加载至右侧数据显示区域,进行数据的查看、播放和剪切等操作。

图片4.png

(3)选择数据片段,创建分析区间。

图片5.png

(4)激活需要分析的数据片段。

(5)在软件顶部导航栏点击“分析”按钮进入数据分析页面,然后在数据分析进程中选择“标准CPB”分析功能。

图片6.png

(6)设置倍频程参数。

图片7.png

l  频带类型:选择倍频程带类别,包含(1/1、1/3、1/6、1/12、1/24);

l  上、下限频率:设置频率范围;

l  声学计权:设置数据计权方式,包含A、B、C、D计权;

l  稳定时间:滤波器稳定时间。

(7)计算倍频程数据,查看和分析计算结果。

图片8.png

 


知识工程通用试验MATLAB
著作权归作者所有,欢迎分享,未经许可,不得转载
首次发布时间:2025-10-10
最近编辑:5小时前
仿真秀90505041920
签名征集中
获赞 8粉丝 0文章 5课程 0
点赞
收藏
未登录
还没有评论
课程
培训
服务
行家
VIP会员 学习计划 福利任务
下载APP
联系我们
帮助与反馈