首页/文章/ 详情

轮辋侧向刚度测试规范及对路噪影响研究

9小时前浏览4

一、背景

为优化某款电动汽车路噪,采用仿真结合测试的方法,以轮辋侧向刚度为评价指标,对其轮辋进行模态仿真和试验对标,验证了轮辋侧向刚度可以在车型开发前期通过仿真计算,并提出具体指标进行相应控制,验证不同侧向刚度对噪声传递函数的影响,优化前后轮辋侧向刚度道路测试验证结果显示,在200~400Hz频段内,轮辋侧向刚度对整车路噪有显著影响。

二、理论解析

GMW14876规范重点内容如下:

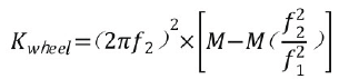
车轮系统质量将轮辐和轮辋的质量分别用m,和m2表示,这样自由状态的车轮就可以类比成两自由度无阻尼自由系统。F1和Fz为激励力,x1和z2为位移,艮为车轮系统刚度。当激励力在车轮芯位置,方向为车轮轴向时的刚度k定义为车轮系统的侧向刚度。推导过程如下,两自由度无阻尼自由系统运动方程为:

图1 车轮两自由度无阻尼自由系统幅频示意图

频响曲线共振峰频率f1和反 共振峰频率f2的车轮侧向刚度公式:

三、实车问题

某款车轮辋侧向幅频仿真计算结果如图3所示。将仿真共振峰频率f1,反 共振峰频率f2,及车轮总质量M代入侧向刚度计算公式,求得44kN/mm,依据GMW14876规范试验,某款车轮辋侧向幅频测试结果如图4所示,并求得44kN/mm,仿真和试验对标验证了仿真模型准确性,结果均未满足目标芝60kN/mm。通过优化轮心直径、轮辐减重窝深度、轮辐布置、轮心厚度、轮心减重窝深度,在单车轮总质量仅增加0.3kg情况下,提升轮辋侧向刚度至60kN/mm,优化后车轮辋侧向幅频仿真计算结果如图所示。

图2 某款车轮辋侧向幅频仿真计算结果

图3 某款车轮辋侧向幅频测试结果

图4 优化后车轮辋侧向幅频仿真计算结果

将该车换上优化后的轮辋进行40 km/h粗糙路测试。对时域测试数据进行傅里叶变换,并进行A计权。得到如图所示的该车优化后前排路噪声压值与频谱曲线对比,实车路噪测试结果显示车轮侧向刚度优化对整车路噪性能有显著影响,且影响频率段主要集中在200~400Hz范围内,0A值前排降低1.6dB(A),后排降低1.0dB(A),主观感受优化方案样件路噪前后排均有较明显提升。

图5 前排路噪声压值与频谱曲线对比

图6 后排路噪声压值与频谱曲线对比

四、结论

轮辋侧向刚度对客户抱怨的200~400}lz范围内的路噪有显著影响。

通过对轮辋侧向刚度进行仿真和试验对标,验证了轮辋侧向刚度可以在车型开发前期通过仿真计算,并提出具体指标进行相应控制优化,验证不同侧向刚度对噪声传递函数的影响,可以证明本文车轮系统侧向刚度提升对路噪性能影响研究是切实有效,轮辋侧向刚度越大,整车路噪表现越优异。

图片
【免责声明】本文来自笔记等整理,版权归原作者所有,仅用于学习等,对文中观点判断均保持中立,若您认为文中来源标注与事实不符,若有涉及版权等请告知,将及时修订删除,谢谢大家的关注!


来源:CAE之家
拓扑优化汽车理论NVH控制试验
著作权归作者所有,欢迎分享,未经许可,不得转载
首次发布时间:2025-10-01
最近编辑:9小时前
CAE之家
硕士 | CAE仿真负责人 个人著作《汽车NVH一本通》
获赞 1257粉丝 7325文章 1190课程 24
点赞
收藏
作者推荐
未登录
还没有评论
课程
培训
服务
行家
VIP会员 学习计划 福利任务
下载APP
联系我们
帮助与反馈