首页/文章/ 详情

镜像原理介绍

12天前浏览23



电磁场的边界区域通常是有限的,边界条件会影响场分布,即边值问题。电磁场的边值问题求解非常复杂。通常会将非均匀空间问题等效转换为均匀空间下考虑,实现该转换的就是通过镜像原理。

目录



   
  • 镜像原理    
  • 无限大PEC半空间中的等效    
  • 参考资料    
 
 

 
     



*

As shown below👇

*镜像原理

电磁场的镜像原理的核心思想是:用位于场域之外的、一个或多个虚拟的“镜像电流源(或电偶极子)”来等效替代导体或介质边界上的复杂感应电荷(或磁化电流)分布,从而将原来的有边界问题转化为一个无边界的问题,使得计算大大简化。

 

简单来说,就是为了求一个复杂区域(如有导体平面、导体球存在)的电场,我们在原区域之外“虚构”一个电流源(电偶极子),使得这些虚构源共同产生的电场满足原问题的边界条件(如导体表面等电位)。这样,在原区域中,虚构源和原电流源(电偶极子)产生的场就是所求的真实场。





*无限大PEC半空间中的等效

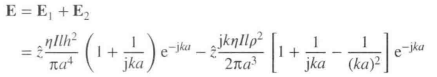
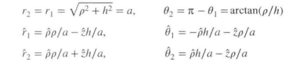
以无限大PEC平面上方的电偶极子为例,首先移除PEC,然后下半空间填充与上半空间相同的介质。

 


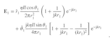
电偶极子在自由空间产生的电场为,

 

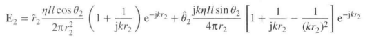
为抵消xy平面上的电场切向分量,在z=-h处放置一个等幅同向的电偶极子,其产生的电场为

 

那么对于xy平面的任意点,

 

可得,

 


显然,电场切向分量在xy平面上为零。现在,考虑新问题中的上半空间。其中的源与原问题相同,在边界面上的切向电场分量也与原问题相同,根据唯一性定理,在上半空间中新问题与原问题的场是相同的。因此,新问题与原问题在上半空间等效。引入的电偶极子称为原电偶极子的镜像。

对于上半空间,镜像源产生的场可认为是原电偶极子产生的场被PEC平面反射后的反射场。需要注意的是,这里的等效仅针对上半空间而言。新问题和原问题在下半空间的场显然不一样。



参考文献



   

[1] J.-M. Jing, Theory and Computation of Electromagnetic Fields: Jin/Electromagnetic Fields. Hoboken, NJ, USA: John Wiley & Sons, Inc., 2010. doi: 10.1002/9780470874257.

[2] 杨儒贵, 高等电磁理论 (杨儒贵). 高等教育出版社, 2008.

[3] 处方, 电磁场与电磁波, 第五版. 高等教育出版社, 2019.

[4] D. M. Pozar, 微波工程, 第三版. 北京: 电子工业出版社, 2015.

          



来源:微波工程仿真
MAGNET电子电场理论
著作权归作者所有,欢迎分享,未经许可,不得转载
首次发布时间:2025-09-19
最近编辑:12天前
周末--电磁仿真
博士 微波电磁波
获赞 38粉丝 62文章 440课程 0
点赞
收藏
作者推荐

基于电磁理论的全息MIMO信道矩阵归一化

1. 摘要 相较于传统MIMO技术,全息MIMO通过密集化、甚至立体化的天线阵列,实现了对电磁空谱域特性的更精细调控,如图1所示。在全息MIMO系统中,信道矩阵的归一化方式对信道容量的评估具有决定性影响。传统方法通常假设子信道平均增益为1,然而这种方法无法准确反映不同阵列拓扑(如立体阵列)的电磁特性,可能导致容量估计偏离物理实际。本文提出了全息MIMO信道矩阵的电磁归一化方法,该方法全面考虑了阵列增益、天线耦合以及近场/远场效应,使得信道矩阵的归一化更加符合物理实际,从而提高了容量评估的准确性。 图1. 三种全息MIMO阵列拓扑结构 2. 传统与基于电磁理论的信道矩阵归一化方法 传统的信道矩阵归一化方法假设信道矩阵的Frobenius范数为发射天线数和接收天线数的乘积,即 其中H为信道矩阵,Nt和Nr为发射和接收天线数量。此时子信道平均增益为1,且信道矩阵的归一化仅取决于天线数量。然而,这种方法忽视了天线阵的电磁特性,在处理复杂的稠密阵列或立体阵列时会产生误差。基于电磁理论的信道矩阵归一化依赖于天线阵增益,根据场景可以分为以下三种情况 其中G为天线阵列在目标角度(范围)的平均远场(可实现)增益,取决于阵列的拓扑结构、波束赋形方向以及天线之间的互耦,该归一化方法能够刻画天线阵所有的电磁特性。对于近场全息MIMO,基于并矢格林函数,可以用类似于远场的形式进行信道矩阵归一化 其中Gpq为近场增益,q和p分别代表源和场的极化。 3. 远场增益计算方法 信道矩阵归一化需计算天线阵在目标角度的增益。评估任意拓扑结构天线阵的远场增益,可基于全波仿真、解析方法和物理方法。 全波仿真借助CST、HFSS等商业软件直接计算增益,但是耗时长、所需计算资源多。 解析方法可基于辐射强度U的积分计算增益,即 分母中对辐射强度U的双重积分为总辐射能量,存在闭式解,具体推导见原文。 物理方法则依赖于天线阵等效口径 其中阵列的等效口径Ae取决于阵列沿目标方向的投影面积。文中线阵、面阵和体阵的等效口径分别为 其中L代表天线阵沿各个维度的长度。进一步考虑可实现增益,此时需要估算天线的有源辐射效率,即天线耦合带来的效率损失。基于Hannan公式,文中不同阵列拓扑下辐射效率的近似评估公式为 其中Se为阵中单元面积,De为阵中单元方向性系数,al和Sv为需通过全波仿真提取的参数。 因此,可以根据以上三种方法计算阵列在目标方向上的远场平均(可实现)增益,并依此对信道矩阵进行归一化。以均匀平面阵为例,三种方法计算的增益和可实现增益如下图所示 图2. 基于解析方法、物理方法和全波仿真的均匀平面阵增益。(a)增益;(b)可实现增益。 4. 近场增益计算方法 在近场通信场景中,可以借鉴远场增益的分析思路,基于并矢格林函数计算近场辐射强度和总辐射能量,从而定义近场增益。与远场不同,近场区域中的电场和磁场关系更为复杂,二者不再简单地通过波阻抗倍数相关联。因此,近场增益的计算需要依赖坡印廷矢量来准确表征电磁能量的辐射强度 其中的矢量电场和磁场和可根据电并矢格林函数和磁并矢格林函数计算得到,从而进一步得到目标极化的辐射强度 以及总辐射能量 最终得到近场增益 该方法可以严格刻画近场的交叉极化、波束赋形等特性,同时可以建模近场的多种增益损失,如下图所示: 图3. 近场可能存在的增益损失 这些增益损失通常可以通过信号处理技术进行有效补偿,而归一化过程中所采用的增益值则需根据具体场景灵活选择。同时,原文中还提出了相应的物理经验公式,简化了实际应用中的计算复杂度。 5. 数值结果 对于远场通信场景,基于丰富多径环境下的Kronecker模型,我们对比了不同归一化方式下平面阵列和立体阵列的信道容量,结果如下图所示 图4. 基于不同归一化方法的信道容量结果。(a)平面阵;(b)立体阵。 从结果中可以看出,传统归一化方法在容量评估中存在显著误差,尤其是在处理稠密阵列和立体阵列时,其局限性更加突出。这种方法既无法准确刻画天线阵列的增益极限,也无法反映天线间耦合效应导致的效率损失,从而导致容量评估结果偏离实际物理场景。 对于近场通信场景,我们研究了不同近场损失情况下信道容量随收发端距离的变化规律,结果如下图所示: 图5. 考虑不同类型增益损失的近场信道容量。(a)平面阵;(b)立体阵。 从结果中可以看出,这些增益损失主要集中在感应近场区域。在这一范围内,电磁场的特性与远场存在显著差异,若直接采用远场波束赋形方法,会导致严重的性能损失。 6. 结论 严格的全息MIMO信道矩阵归一化须充分考虑天线阵列在目标方向上的平均(可实现)增益,否则可能导致信道容量评估结果偏离物理实际。无论是平面阵列、立体阵列还是其他任意拓扑结构的天线阵列,其(可实现)增益均可基于本文提出的方法进行精确估算。更多相关公式推导和数值结果,请参考原文中的完整论述。论文链接Shuai S.A. Yuan, Li Wei, Xiaoming Chen, Chongwen Huang, and Wei E.I. Sha, “Electromagnetic Normalization of Channel Matrix for Holographic MIMO Communications,” IEEE Transactions on Wireless Communications, Accepted. DOI: 10.1109/TWC.2025.3543585原创声明:这是原创的科普分享,禁止任何形式的修改、纂改,和不注明出处的转载。如果您喜欢这篇文章,请帮助宣传推广。 来源:微波工程仿真

未登录
还没有评论
课程
培训
服务
行家
VIP会员 学习计划 福利任务
下载APP
联系我们
帮助与反馈