塑料广泛应用于汽车工业。目前,一辆汽车大约有30000个零件,其中1/3是由塑料制成的,总共有约39种不同类型的基本塑料和聚合物用于制造汽车。
超过70%的汽车用塑料来自四种聚合物:聚丙烯、聚氨酯、聚酰胺和PVC。塑料使工程师能够设计任何产品形状,同时保持足够的强度和减轻重量。汽车照明的主要材料是塑料和弹性体,如PC、PP、ABS、PMMA等。典型的汽车刹车灯如图1所示。

图1 汽车刹车灯中的塑料
蠕变和应力松弛
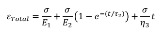
塑料是粘弹性材料,对应力的响应兼有弹性固体和粘性流体的双重特性。一些常见的力学效应有蠕变、应力松弛、断裂和疲劳。这些效应的变化特性对应变率、作用时间、作用历史和温度等因素非常敏感。多年来,我们已经开发了许多材料模型来预测粘弹性材料的行为,其中最成功的数学模型基于弹簧单元(弹性效应)和缓冲器单元(粘性效应)。包括麦克斯韦模型、开尔文模型和两者的结合。
图2 四元件Maxwell模型
蠕变是塑料最重要的失效模式之一。塑料受恒定的载荷时,表现出随时间变化的应变响应,如图3所示,这种行为称为蠕变。塑料粘弹性的另一个重要特性是应力松弛:如果塑料承受恒定的应变,则维持该应变所需的应力减小。应力松弛行为在垫片、密封件、弹簧和卡扣组件的设计以及螺栓预紧设计中非常重要。
(a)蠕变
(b) 应力松弛
图3 蠕变和应力松弛
介观蠕变机制
蠕变机制与非牛顿流体相关,而松弛过程中蠕变应变的增加与弹性应变的减小量相同,故蠕变过程是与非牛顿流体一致的粘性变形过程,应力松弛过程则是材料弹性与粘性之间平衡的结果。
通常,聚合物是由许多由化学键连接的结构单元组成的,它是多层次结构的总和,包括近程结构、远程结构、聚集态结构和织态结构。图4显示了多个链段的聚集态结构,椭圆所包围的部分是一个完整的分子链。同样,在实际分子链中存在链段间、键角限制和势垒等界面相互作用,且分子链段由于本身在微观上具有完全的各向同性弹性,在拉伸力作用下产生弹性变形。
从图5可以看出,在拉伸载荷作用下,非晶态分子结构由于分子间键较低,容易引起聚合物分子的解缠和相互滑移。晶体分子结构具有更强、更密集的键。它易受倾斜和重新定向以及轻微膨胀的影响。
图4 聚合物的分子结构图
图5 聚乙烯分子结构示意图
当施加外载荷时,单元本身发生弹性变形,沿基体与界面的法向应力梯度成为相对运动的动力源,界面间将被动产生内耗而发生不同程度的滑移,在加载方向上产生蠕变。在蠕变过程中,外力保持不变,由于其短期特性,弹性力会立即发生弹性变形。粘滞力随时间的推移逐渐增大,直到弹性力和粘滞力达到平衡为止。
各阶段蠕变意义
蠕变曲线中有3个阶段,如图6。

图6 蠕变的三个应变的变化阶段
第一阶段-初级蠕变(Primary Creep)
· 曲线特征:刚加载时,应变速率逐渐减小。
· 物理意义:这一阶段,材料内部的分子链和微观结构正在快速调整。部分分子链解开取向、局部应力松弛,使材料逐渐找到一个新的平衡状态。
第二阶段-稳态蠕变(Secondary Creep)
· 曲线特征:应变随时间近似线性增长,变形速率恒定。
· 物理意义:内部的应力松弛与分子链滑移达成动态平衡。材料在这一阶段表现出“稳定但持续”的流动特征。
👉 这是工程设计中最关注的阶段,因为零件的大部分服役寿命都在这里消耗。
第三阶段-三级蠕变(Tertiary Creep)
· 曲线特征:变形速率急剧增加,直至断裂。
· 物理意义:在长期载荷下,材料局部已经出现微裂纹或颈缩,导致局部应力集中,最终加速破坏。
👉 一旦进入这一阶段,零件已经“不可逆”,失效只是时间问题。
通常,蠕变的第一和第二阶段通常是最重要的。图7显示了来自国高材分析测试中心测试的的某款塑料蠕变试验数据。
图7 某软质塑料的标称蠕变应变曲线图
蠕变测试方法
塑料蠕变试验相关标准:
ISO 899-1 蠕变行为的测定 - 第 1 部分:拉伸蠕变
ISO 899-2 蠕变行为的测定 - 第 2 部分:三点加载的弯曲蠕变
ASTM D2990塑料拉伸、压缩和弯曲蠕变和蠕变破裂的标准测试方法
ISO 16770塑料 - 聚乙烯环境应力开裂 (ESC) 的测定 - 全缺口蠕变试验 (FNCT)
ISO 3384-1硫化或热塑性橡胶 – 压缩应力松弛的测定
蠕变试验确定了哪些特征值?
拉伸蠕变应变、标称拉伸蠕变应变、拉伸蠕变模量、标称拉伸蠕变模量、破断时间、等时应力-应变曲线、蠕变恢复等。
需要提前明确哪些条件?
进行蠕变性能测试,需明确三个条件:温度、载荷、时间。温度应与状态调节相同的环境下进行试验,试验时间内温度偏差在±2℃;载荷应与材料的预期应用相当,规定初始应变可通过模量进行换算得出初始载荷;时间无规定,准确至±2s内,通常在1000h内。
蠕变测试案例
图8 国高材分析测试中心蠕变试验机
技术参数:
1、最大载荷5 kN;
2、精度等级0.5级;
3、试验温度-20-150℃。
背景:
随着汽车使用时间的增长,车灯塑料部件在长期受力情况下会发生缓慢且持续的变形现象。车灯蠕变看似微小,却可能带来严重后果:光型偏离法规要求、密封性能下降导致进水起雾、甚至灯壳开裂引发完全失效。
1)拉伸蠕变测试
图9 拉伸蠕变测试过程
用于汽车的典型材料PMMA表现出室温蠕变。其初始抗拉强度较高,但长期高应力载荷下会出现变形和裂纹现象。在评估最大螺钉扭矩时,由于螺钉垫部件中应力松弛的存在,3小时热循环试验后可检测到低扭矩(图10)。由于应力松弛的存在,长时间热循环试验后,过大的预载可能导致壳体夹具永久变形(图11)。
图10 3小时热循环试验后前照灯螺栓松动
(a) 测试前
(b) 测试后
图11 热循环试验超过100小时后,器材的永久变形
2)弯曲蠕变测试
图12 弯曲蠕变测试过程
图13为聚丙烯弯曲蠕变测试研究结果,失效发生在弯曲试样的底部。
图13 PP蠕变测试结果曲线
为纤维增强的聚丙烯比聚丙烯更能抵抗蠕变变形,图14结果表明,蠕变随着施加应力和温度的增加而增加。
图14 纤维增强的聚丙烯蠕变测试结果曲线
国高材分析测试中心可根据试验要求设计完整的塑料蠕变测试方案,包括蠕变曲线绘制、蠕变属性参数标定等,同时提供对蠕变测试结果的分析和解释,帮助工程技术人员在产品设计阶段更好地理解和应用蠕变测试结果,从而进一步提高研发产品的性能和使用寿命。技术咨询:020-66221668
-end-
部分素材来源于网络