首页/文章/ 详情

一文读懂有限元分析中的点面接触和面面接触

2月前浏览118

在有限元分析中,接触问题的处理直接影响仿真分析的计算精度和收敛性。其中,点面接触(N2S)和面面接触(S2S)是两种主流的接触离散方式。对于N2S和S2S,你是否有弄清楚这两者的关系及区别呢?


不清楚也没关系,通过这篇内容,我将从多个方面进行详细阐述,让你一文读懂有限元分析中的N2S和S2S。


 


在机械装配、材料成型、生物力学等工程领域中,接触现象普遍存在。以汽车刹车系统为例,刹车片与刹车盘的接触压力分布直接影响制动效能;在航空发动机中,涡轮叶片与机匣的间隙控制对热效率至关重要。


这些实际场景的共同特征是:接触面间的相互作用具有非线性、多物理场耦合的特点,传统线性分析方法难以准确捕捉其力学行为。


有限元分析(FEA)通过离散化方法将连续体划分为单元,但在接触问题中需额外处理三个关键技术点:


接触状态的非线性:接触区域可能随载荷变化从分离转为接触;

法向不可穿透性:确保从节点不 穿透主面;

切向摩擦行为:需考虑静摩擦、动摩擦及粘滑现象。


这里我先从点面接触(N2S)开始,后面再说面面接触(S2S),再看两者之间对比等。


01

点面接触(N2S)


定义:每个从节点在搜索距离内寻找一个主面,沿主面法向投影建立接触单元。接触力通过弹簧单元(线状单元)传递,形成“一对一”传力模式。


特点:接触单元形状不规则,接触力分配不均匀。适用于接触区域小、尖角接触(如齿轮啮合)或大接触面场景。


算法原理:点面接触采用主从面算法,其核心步骤如下:


①搜索阶段:对每个从节点,在给定搜索半径内查找可能接触的主面。

②投影阶段:将节点沿主面法向投影至主面,形成虚拟接触点。

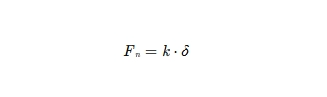
③接触力计算:通过罚函数法建立接触力与穿透量的关系:

 

式中,k为接触刚度,δ为穿透量


案例分析:比如在某型齿轮啮合分析中,采用点面接触模拟齿面接触:


模型设置:从面为齿顶细网格,主面为齿根粗网格。

结果对比:接触压力峰值误差<5%,但压力分布呈现明显"热点"现象。

计算效率:相比面面接触,求解时间缩短40%。


02

面面接触(S2S)


定义:从面片通过高斯点与主面片建立多个接触单元,接触力通过rbe单元(多点约束)均匀分配到主面,形成“多对多”传力模式。


特点:接触压力分布更均匀,位移、应变结果更光顺。适用于高精度需求场景(如应力集中分析)。


算法原理:面面接触引入Mortar积分方法,其技术亮点包括:


①双面投影:在从面和主面同时建立积分点,实现双向接触力传递。

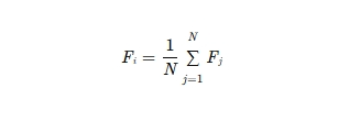
②接触力平均化:通过RBE单元将接触力分配到周边节点,公式表示为:

 

式中,N为积分点数量


③滑移处理:采用预测-校正算法处理接触面间的相对滑动。


案例分析:比如某航空发动机涡轮叶片-机匣间隙分析:


模型设置:采用面面接触,设置摩擦系数0.15。

结果对比:接触压力分布光顺,最大应力值与实验误差<3%。

计算效率:虽然单步计算时间增加20%,但收敛迭代次数减少35%。


03


上面分享了两者的定义、特点、算法原理等,那么对于两者的精度和效率对比,我用表格列出来。这样一看就清楚,熟悉后就可以在面对不同场景时快速选择。


指标

点面接触(N2S)

面面接触(S2S)

接触压力分布

不均匀

均匀

计算效率

迭代次数少,耗时短

迭代次数多,耗时长

收敛性

对初始渗透敏感,需调整接触刚度

收敛性更稳定,适合复杂接触


推荐使用点面接触的情况:


  • 接触区域存在尖角或线-面接触(如齿轮啮合)。

  • 非线性收敛调试阶段,需快速迭代参数。

  • 接触面极大(如大型结构装配),需减少计算量。


推荐使用面面接触的情况:


  • 需高精度应力分析(如疲劳寿命预测)。

  • 接触区域存在复杂滑动或摩擦行为。

  • 接触面网格密度均匀且资源充足时。


04

建模与求解优化技巧


网格划分:

接触区域局部加密,非接触区域粗化以节省计算资源。

主面网格不宜比从面更细,避免穿透。


接触算法选择:

罚函数法:计算效率高,但精度依赖接触刚度(建议FKN=0.01-10)。

拉格朗日乘子法:精度高,但可能引入数值振荡。


收敛性调试:

初始接触条件设置:通过PMIN/PMAX控制初始渗透范围。

平衡迭代次数(NEQIT=25-50)和线性搜索(LNSRCH=1)提升稳定性。


 


点面接触与面面接触各有优劣,选择需结合具体项目需求。对于初步分析或大模型简化,点面接触效率更优;而高精度场景下,面面接触是更可靠的选择。实际工程中,建议通过试算对比两种方法的收敛性、精度及计算资源消耗,最终确定最优方案。


注:本文部分素材/图片来源于网络,如有侵权请联系删除.


来源:一起CAE吧
疲劳非线性航空汽车材料控制装配
著作权归作者所有,欢迎分享,未经许可,不得转载
首次发布时间:2025-09-07
最近编辑:2月前
侠客烟雨
硕士 竹杖芒鞋轻胜马,一蓑烟雨任平生
获赞 121粉丝 148文章 188课程 0
点赞
收藏
作者推荐

几何模型文件通用格式-IGES介绍

IGES(Initial Graphics Exchange Specification:初始图形交换规范)是一种用于在不同计算机辅助设计(CAD)和计算机辅助制造(CAM)系统之间交换三维图形数据的工业标准格式。它的主要用途是实现CAD软件之间的数据互操作性,允许用户将三维模型从一个系统导出到另一个系统,而不会丢失几何形状和拓扑关系。IGES文件以ASCII文本格式保存,支持多种几何元素(如点、线、圆、曲线、曲面等)和简单的文字及尺寸标注能力。IGES文件是一种公开格式的文件,可通过记事本、写字板等工具打开查看,文件扩展名为.iges或.igs。 IGES文件组成起始部分(START SECTION) : 它位于文件的开头,主要用于标识文件的名称和一些基本的创建信息。这部分以 “S” 开头,包含 80 个字符。例如,文件名可能在这里列出,还可能有创建该文件的软件名称等元数据信息。全局部分(GLOBAL SECTION) : 这部分提供了文件的全局信息,如文件的版本号、单位等。它以 “G” 开头,同样包含 80 个字符。例如,会说明该 IGES 文件遵循哪个版本的标准,以及文件中的尺寸是以毫米、米还是其他单位来表示。目录部分(DIRECTORY SECTION) : 每个实体对象在目录部分都有一个条目。每个条目包含 80 个字符,并且以 “D” 开头。它提供了实体对象的类型、参数部分的指针、实体的名称等信息。实体类型可以是点、线、圆等几何元素,参数部分的指针用于定位实体详细的参数定义,实体名称可以是用户自定义的,方便对实体进行识别。参数部分(PARAMETERS SECTION) : 这部分包含实体对象的具体参数。每个实体对象的参数以 “P” 开头,并且在文件中进行详细描述。例如,对于一个圆实体,这里会包括圆心坐标、半径等参数,这些参数用于准确地定义几何对象的形状和位置。终止部分(TERMINATOR SECTION) : 用于标记文件的结束,以 “T” 开头,包含 80 个字符。这部分通常不会包含太多额外的内容,主要是起到结束标志的作用。 IGES格式文件具有以下优点1.广泛的兼容性 跨平台支持:几乎所有主流CAD软件(如AutoCAD, SolidWorks, CATIA)均支持IGES导入/导出,避免数据锁定的风险。 长期可读性:ASCII文本格式确保即便原始软件淘汰,文件仍可通过文本编辑器解析。2.几何精度保留 采用参数化曲线曲面描述(如NURBS),制造实物与数字模型高度一致,适用于精密加工。3. 行业标准地位 列入ISO标准,我国自1993年采用IGES 3.0为国家推荐标准,成为事实上的国际交换基准。 尽管IGES格式在数据交换中发挥了重要作用,但在现代CAD系统和制造技术的发展中,IGES也面临着一些挑战和限制。例如,IGES格式对复杂三维模型的表示能力有限,对颜色、材质、拓扑结构等信息的表达也不够丰富。IGES优缺点总结优点缺点1. 兼容性广:支持旧版CAD系统1. 拓扑易丢失:破面率高(尤其复杂模型)2. 文件轻量:ASCII文本易于编辑2. 数据局限:无材料/公差等关键信息3. 2D优势:传输线框效率高3. 标准停滞:1996年后无重大更新IGES与Step格式文件对比1.几何描述能力维度IGESSTEP对比结论几何类型曲面为主,支持线框和简单实体(B-rep在5.0版本引入)完整实体模型(CSG/B-rep)、曲面、装配体STEP支持复杂实体和装配,IGES限于表面模型精度机制基于数学曲线(如NURBS),但拓扑易丢失高精度NURBS数学描述,拓扑关系完整保留STEP几何完整性显著优于IGES非几何数据仅基础属性(颜色、图层)材料属性、公差(GD&amp;T)、制造信息、设计意图STEP覆盖全产品数据,IGES仅基础几何2.行业应用场景场景IGES适用性STEP适用性推荐选择简单表面模型交换✅ 优势:文件小、兼容旧系统⚠️可用但冗余IGES(如2D草图传输)复杂装配与制造❌ 易破面、无公差数据✅ 完整保留装配结构和制造信息STEP(汽车/航天领域)长期数据存档⚠️ 标准停滞(1996年后无更新)✅ 持续迭代(AP242支持数字签名)STEP(未来兼容性保障)来源:一起CAE吧

未登录
还没有评论
课程
培训
服务
行家
VIP会员 学习计划 福利任务
下载APP
联系我们
帮助与反馈