首页/文章/ 详情

ANSYS学习与实践(6)塑性材料的属性定义

2月前浏览205
当有限元计算考虑材料的塑性变形时,有限元模型在定义塑性材料的属性和只考虑弹性阶段时有很大的差异。

在弹性阶段ob段,材料展现出弹性形变特性,其中oa段应力与应变呈线性比例增加,而ab段则显示出非线性弹性变形的特征。


在此阶段,撤去拉力后,形变能够自动恢复。


一旦形变超过b点,便会发生弹塑性变形,这意味着撤去拉力后,仅有部分形变能够恢复,而另一部分则无法恢复。


随着拉伸力的持续增大,到达屈服点后,应变和应力之间的斜率会发生明显变化。


在屈服点c之后,材料的所有形变都无法恢复,且会继续发生明显而均匀的塑性变形。


e点处的应力达到最高值,被称为最大应力。

在有试验数据的情况下,可以进行多线性计算,模型的材料属性可以按照材料的应力应变曲线进行设置。


当没有试验数据时可以将实际的应力应变曲线简化为双线性模型,将塑性材料的应变过程简化为弹性变形和塑性变形两个线性过程。


该模型使用两条直线来表征材料的应力-应变关系,第一条直线用于表征材料的线弹性材料,其中弹性模量为第一条直线的斜率;第二条直线用于表征材料的弹塑性,其中切线模型为第二条直线的斜率。


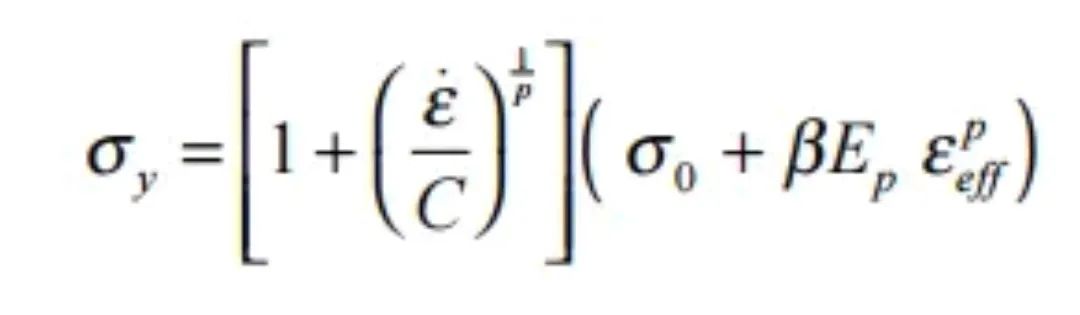
当考虑应变率的影响时,利用Cowper-Symonds模型来考虑应变率,屈服应力如下式:

 

屈服面半径为初始屈服强度加上硬化的部分再乘以应变率影响的系数。


其中,p,C为与应变率有关的参数,σy为屈服强度,σ0为初始屈服强度,Ep为塑性硬化模量,ε (eff,p)为有效塑性应变。


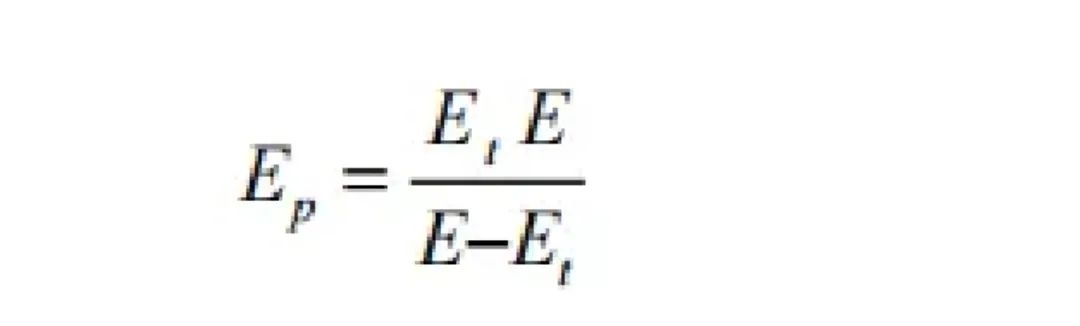
塑性硬化模量由下式给定:


其中,E为弹性模量,Et为切线模量。


根据β值的不同,可以用来描述不同的硬化模型:β = 0 时,为随动硬化,屈服面大小不变,沿塑性应变方向移动;β = 1 时,为各向同性硬化,屈服面位置不变,大小随应变而变化;0 < β < 1 时, 为混合硬化。


在ANSYS LS-DYNA中,模型的材料属性需要输入以下参数:密度、弹性模量、泊松比、初始屈服应力、切线模量、硬化参数、应变率参数C、应变率参数P、失效应变。


来源:智慧强学斋
LS-DYNA非线性材料试验ANSYS
著作权归作者所有,欢迎分享,未经许可,不得转载
首次发布时间:2025-08-28
最近编辑:2月前
强学斋
硕士 签名征集中
获赞 9粉丝 47文章 113课程 0
点赞
收藏
作者推荐

ANSYS学习与实践(2)分区域提取最大等效应力

建完船体结构的有限元模型并加载完结构的载荷之后,就要进行计算了。通常,不但需要求得整个模型的等效应力,还要分别得到不同区域的应力,比如立柱的外板、立柱的GRDER、旁通的外板和水密舱壁等。但是,一般强度计算的载荷要有几百了,我们要计算出每个工况,并找出不同区域应力的最大值是十分困难的。这就使利用APDL编写一段一次性计算几百工况的命令流就变得很有必要了。以下的命令流可以一次性求出所有工况不同区域的最大等效应力。*do,j,1,66/SOLalls/INPUT,&#39;SPAR&#39;,&#39;s%1000+j%&#39;,&#39;D:\Work\ansys\OC5&#39;,,0ALLSSOLVE/POST1!后处理SET,1RSYS,1SHELL,MIDNSEL,S,ALL!...以上整理目标选择集CMSEL,S,PART1nslaNSORT,S,EQV,0,,1,SELECT!结果按应力大小进行排序*GET,N_MAX,NODE,0,NUM,MAX!取得应力最大点的节点编号NUSORT!恢复缺省的排序方式*GET,SEQV_MAX,NODE,N_MAX,S,EQV!取得最大应力值/HEADER,off,,off,off,off,off,off/PAGE,60000,3,60000,3,1/Format,,E,20,5/output,Elem_Info_Stress%1000+j%,txt*VWRITE,SEQV_MAX(&#39;PART1:&#39;,F10.3,&#39;MPa&#39;)/outputALLSCMSEL,S,PART2nslaNSORT,S,EQV,0,,1,SELECT!结果按应力大小进行排序*GET,N_MAX,NODE,0,NUM,MAX!取得应力最大点的节点编号NUSORT!恢复缺省的排序方式*GET,SEQV_MAX,NODE,N_MAX,S,EQV!取得最大应力值/output,Elem_Info_Stress%1000+j%,txt,,APPEND*VWRITE,SEQV_MAX(&#39;PART2:&#39;,F10.3,&#39;MPa&#39;)…/output*ENDDO上面的命令流的工况有66个,为了节省篇幅,只写出了模型的两个部分。以上命令流以有效的前提是机构模型对每个区域都进行了分组。来源:智慧强学斋

未登录
还没有评论
课程
培训
服务
行家
VIP会员 学习计划 福利任务
下载APP
联系我们
帮助与反馈