首页/文章/ 详情

试着讲透有限元基础理论

1月前浏览94

我们回顾有限元方法的基础知识。任何有限元仿真的第一步都是使用有限元集 合离散化结构的实际几何形状。每个有限元代表物理结构的一个离散部分。有限元由共享节点连接。节点和有限元的集 合称为网格。每单位长度、面积或网格中的单元数称为网格密度。在应力分析中,节点的位移是Abaqus计算的基本变量。 一旦知道节点位移,就可以轻松确定每个有限元中的应力和应变。

使用隐式方法获取节点位移

一个简单的桁架示例, 一端受约束,另一端加载,如图所示

图1-1桁架问题

分析的目的是找出桁架自由端的位移、桁架中的应力和桁架约束端的反作用力。 在这种情况下,  图中所示的杆将使用两个桁架单元进行建模。在Abaqus桁架中,构件只能承受 轴向载荷。离散化模型以及节点和元素标签如图1-2所示。

图1- 2桁架问题的离散化模型

模型中每个节点的自由体图如图1-3所示。通常,每个节点将承载施加到模型的外部载荷P 和内部载 荷 I, 这是由附加到该节点的单元中的应力引起的。要使模型处于静态平衡状态,作用在每个节点上  的净力必须为零;即,每个节点的内部和外部负载必须相互平衡。对于节点a, 该平衡方程可以按如下 方式获得。

图1-3每个节点的自由体图 假设杆的长度变化很小,则单元1中的应变由下式给出

其 中u   和 u⁶  分别是节点a 和 b 处的位移,L 是元素的原始长度。假设材料是有弹性的,杆中的应力由应变乘以杨氏模量E作用在端节点上的轴向力等于杆中的应力乘以其横截面积A。 因此,得到了内力、材料属性和位移之 间的关系:

因此,节点a 处的平衡可以写为

节点b处的平衡必须考虑在该节点上连接的两个元素的内力。来自元素1的内力现在作用于相反的方 向,因此变为负。得到的方程为

对于节点 c,  平衡方程为

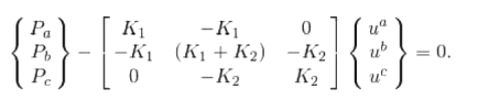
对于隐式方法,需要同时求解平衡方程以获得所有节点的位移。这一要求最好通过矩阵技术来实现;因 此,将内部和外部力贡献写为矩阵。如果两个元素的性质和维度相同,则平衡方程可以简化如下:

通常,元素刚度 (EA/L   项)可能因元素而异;因此,将图元刚度写为K₁   模型中K₂   的两个图元。我们 有兴趣获得平衡方程的解,其中外部施加的力P 与内部产生的力I处于平衡状态。当参考收敛性和非线 性讨论这个方程时,我们将其写为 {P}-{I}=0. 因此,对于完整的双元素、三节点结构,我们修改符号并将平衡方程重写为

值 :u⁶、u  和 Pa(u    在问题中指定为0.0)。一旦知道位移,我们就可以回过头来使用它们来计算 桁架单元中的应力。隐式有限元方法要求在每个解增量结束时求解方程组。 与隐式方法相比,显式方法(例如Abaqus/Explicit 中使用的方法)不需要求解联立方程组或计算全局 刚度矩阵。相反,该解决方案在运动学上从一个增量推进到下一个增量。

应力波传播图解

考虑应力波沿用三个单元建模的杆的传播,如图所示。我们将研究杆的状态,因为 我们随着时间的推移而增加。 图1- 4具有集中载荷的杆的初始配置, P 在自由端。

在第一次增量中,节点1具有加速度,ü1作为集中力P 的结果,施加到它身上。加速度使节点1具有  速 度 ,u₁ 而速度又会导致单元1中的应变率el1 。 单元1中的应变增量是通过对应变△ εel₁1速率在增量 1的时间进行积分而获得的。总应变是Ee11初始应变和应变增量之E0和。在这种情况下,初始应变为 零。计算单元应变后,通过应用材料本构模型获得单元应力σel1。对于线弹性材料,应力只是弹性模  量乘以总应变。此过程如图 1-5所示。节点2和3不会以第一个增量移动,因为没有对它们施加任何 力。

图1-5在具有集中载荷的杆的增量1末端的配置,P 在自由端。

在 第 二 个 增 量 中 , 单 元 1 中 的 应 力 将 内 部 单 元 力 施 加 到 与 单 元 1 相 关 的 节 点 上 , 如 图 1 - 6 所 示 。 然 后 使用这些单元应力来计算节点1和2处的动态平衡。

图1-6增量2开始时杆的配置

该 过 程 继 续 进 行 , 因 此 在 第 三 个 增 量 开 始 时 , 单 元 1 和 2 中 都 有 应 力 , 节 点 1 、 2 和 3 处 都 有 力 , 如 图 1- 7所示。该过程将继续,直到分析达到所需的总时间。

图1- 7增量3开始时杆的配置



来源:力学AI有限元
Abaqus理论材料
著作权归作者所有,欢迎分享,未经许可,不得转载
首次发布时间:2025-08-15
最近编辑:1月前
力学AI有限元
硕士 | 结构工程师 模拟仿真狂热爱好者
获赞 135粉丝 109文章 188课程 13
点赞
收藏
作者推荐
未登录
还没有评论
课程
培训
服务
行家
VIP会员 学习计划 福利任务
下载APP
联系我们
帮助与反馈