首页
发现
课程
培训
文章
案例
问答
需求
服务
行家
赛事
热门搜索
发布
消息
注册
|
登录
首页
/
文章
/
详情
材料力学笔记
CAE之家
3月前
浏览219
关注
材料力学笔记
【免责
声明】本文
来自Deviated,版权归原作者所有,仅用于学习等,对文中观点判断均保持中立,若您认为文中来源标注与事
实不符,若
有涉及版权等请告知,将及时修订删除,谢谢大家的关注!
来源:CAE之家
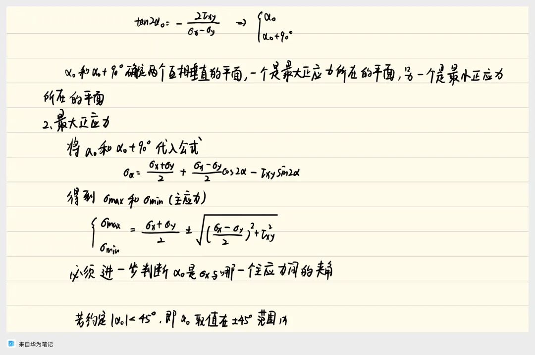
登录后免费查看全文
立即登录
LS-DYNA
Abaqus
振动
疲劳
断裂
碰撞
汽车
新能源
裂纹
理论
材料
NVH
试验
著作权归作者所有,欢迎分享,未经许可,不得转载
首次发布时间:2025-08-16
最近编辑:3月前
CAE之家
硕士
|
CAE仿真负责人
个人著作《汽车NVH一本通》
关注
获赞 1278
粉丝 7490
文章 1240
课程 24
点赞
收藏
作者推荐
可试听
实际工程螺栓预紧力加载分析实战27讲:ABAQUS/LS-DYNA/Optistruct多模块解析
¥699
5.0
立即查看
0/200
清空
提交
还没有评论
课程
培训
服务
行家
仿真秀2023设计仿真新年报告会:发现你身边的仿真好内容
从零开始学Abaqus到接触非线性分析高阶应用(赠送知识圈答疑和订阅用户交流群)
电机CAE-CFD仿真深水区-动力学
工程类专业和结构仿真必修课13讲——全解结构动力学核心理论与实践技能
相关推荐
实际工程螺栓预紧力加载分析实战27讲:ABAQUS/LS-DYNA/Optistruct多模块解析
东南大学裴宪军:基于结构应力/应变方法的焊接结构疲劳分析(直播回看)
STAR-CCM 与Abaqus联合仿真流热固耦合传热、应力、断裂、裂纹扩展、模态、谐响应分析
LS-DYNA材料及结构Gissmo失效模型工程案例应用实操51讲(附学习模型)
最新文章
非稳态传热仿真:COMSOL工业级解决方案、场景解析与实战指南
倒计时!国产CAE智铸超云3.0新版发布落户仿真秀,共探效率革命
叶轮机械全面又详细的水力设计来了!CFturbo又加餐!还是中文版
MIDAS官方结构流体仿真线下集训相约南京航空航天大学-仿真秀开通报名
Cadence EMX/EMIR仿真如何破解芯片可靠性难题(附视频教程)
热门文章
通用/泛亚/蔚来/弗迪/上海电驱动等百位新能源专家确认发言,易贸三电活动6月苏州见
一种降低电池温差的装置
湍流与涡流的区别
Fluent湍流模型中壁面函数选择建议
涡结构提取
其他人都在看
被DDR4串扰、阻抗匹配逼疯?他走出一条DDR信号完整性破局之路
工程师抄作业!ANSYS教你做螺旋桨水下湿模态+声固耦合计算
别再被easyPBC卡壳!三维RVE模型这么建,零厚度单元也能精准施PBC(工程师亲测)
一个案例学会SolidWorks流固热耦合仿真流程与细节公开(附赠模型)
卫星明明没碰撞,为何会莫名失效?答案藏在 “冰火” 热变形里
VIP会员
学习计划
福利任务
下载APP
联系我们
微信客服
联系客服
人工服务时间为周一至周五的9:30-19:30
非工作时间请在微信客服留言
客服热线:
4000-969-010
邮箱:
service@fangzhenxiu.com
地址:
北京市朝阳区莱锦创意园CN08座
帮助与反馈
返回顶部