锂离子电池技术是汽车电气化的关键技术之一,动力电池模组(包)的热性能仿真与电路性能仿真共同决定着电池系统性能,工程师采用传统的仿真方式往往存在计算效率和精度的权衡,本文介绍一种一维/三维耦合分析方法,可以兼顾热设计工程师和电路性能分析工程师的需求,即满足真实的三维热管理精度需求又可考虑电池的一维动态性能。本文将通过一个简化电池包热管理案例说明本仿真技术的实现方式,使用南方某主机厂的试验数据,计算某充电工况下的电池芯体平均温度变化,并与三维仿真结果对比,体现该方法的高效性和准确度。该技术已在海外主机厂成熟采用,其试验结果表明本方法具备精度和效率的综合优势。
汽车数量剧增,给自然环境中的空气、土地资源、水资源、海洋、人文环境及人类的生存和健康带来许多不利影响。随着各国对环境保护、技术进步和能源安全重视程度的加深,大量消耗化石能源的传统汽车正逐渐被取代,以电动化为技术背景的新能源汽车行业迎来发展良机。
汽车工业已经在电动汽车(EV)和混合动力电动汽车(HEV)上投入了大量资金。对于这两种类型的车辆,电池在影响整体车辆性能方面起着关键作用。动力电池在充放电过程中会产生热量,温度升高会影响电池的特性参数和寿命,因此电池的热管理对于电动汽车非常重要。数值模拟成为电池设计者和研究人员不可或缺的工具。
本文结合ANSYS旗下的CFD软件和系统仿真软件,介绍一种一维/三维耦合分析方法,可以兼顾热设计工程师和电路性能分析工程师的需求,即满足真实的三维热管理精度需求又可考虑电池的一维动态性能。该技术已在海外主机厂成熟采用,其试验结果表明本方法具备精度和效率的综合优势。
2.1耦合仿真的优势
一维仿真模型使用等效电路模型(ECM),可以获得电池的电荷状态(SOC),伏安特性和电池系统的动态响应。三维仿真模型可以提取电池包(模组)热性能的响应曲线,在三维仿真计算结果基础上建立降阶模型(ROM),可以计算不同负载工况下的电池包(模组)的温度变化曲线。ROM计算的时间可以达到秒级,与三维仿真达到同样的精度,大幅提高计算效率。ROM模型还可以继续用于系统级仿真中,搭建整个新能源车的热管理系统,用于实现数字双胞胎。
本文一维仿真使用系统仿真软件Twin Builder(原Simplorer)。为了轻松快速地构建您的系统,Twin Builder将多域系统建模器的强大功能与广泛的0D应用程序特定库,3D物理解算器和降阶模型(ROM)功能相结合。与嵌入式软件开发工具结合使用时,Twin Builder允许您重用现有组件并快速创建产品的系统模型。构建系统模型和数字双胞胎Twin Builder可改善预测性维护结果,从而节省保修和保险成本并优化产品的运营[1]。
三维仿真使用ANSYS Fluent软件,这是一款目前处于世界领先地位的CFD软件之一,是一个用于模拟和分析在复杂几何区域内的流体流动与热交换问题的通用CFD软件[2],在新能源车热管理等方面有很多成功案例。
2.2 耦合仿真流程
Twin Builder和Fluent联合仿真流程:
1:使用Fluent对电芯单体的HPPC实验数据进行拟合,得到等效电路模型(ECM)中各参数与SOC的关系;
2:使用Twin Builder建立电池单体的等效电路模型(ECM);进而组成电池包(模组)的等效电路模型(ECM);
3:使用Fluent计算三维电池包热仿真模型,提取热源与温度之间的响应曲线;
4:利用三维计算得到的响应曲线,使用Twin Builder建立降阶模型(ROM);
5:降阶模型(ROM)与等效电路模型(ECM)耦合,计算实际负载工况下的电池包温度

图1 仿真流程图
3.1 等效电路模型的提出
本文采用基于Min Chen提出的电池模型[3],如图2所示,左侧电容器和受电流控制的电流源继承自基于运行时的模型,模拟电池的容量,SOC和运行时间。右侧RC网络模拟瞬态响应。为了将SOC接到开路电压,使用受电压控制的电压源。所提出的模型,其独特的组件和依赖关系组合简化了提取过程,可以同时准确地“实时”捕获运行时,稳态和瞬态响应,电池的所有动态电气特性:可用容量,开路电压(VOC)和瞬态响应(RC网络)。
由于电池ECM易于使用,并且能够代表电池状态(SOC),I-V特性和电池系统的动态行为,因此电池ECM在系统级设计工程师中得到普及。本文用到电池ECM由开路电压源,串联电阻器和两对并联电阻器-电容器(RC)元件组成[4]。ECM参数的识别可以通过曲线拟合混合动力脉冲能力特性(HPPC/hybrid pulse power characterization)实验数据来完成。

图2 Min Chen提出的电池模型
3.2 HPPC实验数据
HPPC(hybrid pulse power characterization混合动力脉冲能力特性)实验数据,是用来体现动力电池脉冲充放电性能的一种特征。HPPC测试一般采用专用电池检测设备完成。
根据Min Chen文章中研究成果,不同放电电流的曲线之间的参数差异很小表明这些参数几乎与放电电流无关,由此可以简化模型[4]。本文用到的HPPC实验数据是在某个电流工况下,不同SOC水平下的脉冲放电(或充电)电压随时间的变化曲线,图3所示为SOC=0.05时的数据示例。需要在不同SOC值下的脉冲放电(或充电)电压数据来识别电池ECM模型中的参数。

SOC=0.05时电压随时间变化曲线

脉冲电流
图3 HPPC数据示例
3.3 实验数据拟合
前文提到了ECM的组成,ECM中包含的6个参数是:开路电压VOC,内阻Rseries,两个RC网格,即两组电阻器-电容器(R_L,C_L, R_S,C_S)。ECM参数的识别需要通过对HPPC实验数据的拟合来完成,将6个参数拟合为SOC的函数。数据的拟合有多种方式。
Min Chen提出一种非线性拟合,拟合的表达式为多项式与指数形式的组合[3]。Shugang Jiang提出了一种拟合方式[5],对于RC参数的拟合使用松弛段数据,如图4所示,引自Li的讲义[6]。Voc = V1,Rseries = (V1-V2)/I,R_L,C_L, R_S,C_S 是根据松弛段电压数据用最小二乘法拟合得到的,拟合公式[5]为公式1-3。还有一种非线性的拟合方法Levenberg-Marquardt方法,Voc = V1,其他参数由脉冲段和松弛段的数据拟合得到,拟合公式为Min Chen的ECM电路在脉冲电流下的解析解[6]为公式4,5。拟合后需要对拟合结果进行相应的验证工作。

图4 HPPC数据分段定义

我们可以利用上述拟合方法手动拟合ECM中所需参数,Fluent软件中有自动拟合工具,输入HPPC数据后,可以自动拟合出这些参数关于SOC的函数(多项式形式),拟合方法有JH方法和LM方法。JH方法是Xiao Hu博士在Jiang的方法基础上做了些改进,增强了拟合的稳健性。LM方法就是前文中提到的Levenberg-Marquardt方法。
由于试验数据保密的原因,本文使用由HPPC拟合得到的数据开始展示,图5和6是拟合后的部分数据和拟合多项式示例。


……
图5 部分拟合数据

……
图6 部分拟合多项式
3.4 电池单体等效电路模型
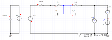
电池单体的等效电路模型如图7所示,电芯容量为57Ah,左侧电流源IBatt的电流等于右侧Rseries上的电流,VOC,Rseries,R_L,C_L,R_S,C_S这6个参数都设定为上述拟合的SOC的函数,VM1为电压表,AM1为电流表,I2表示外部负载。当以200A的电流脉冲放电100s时(图7表示电流曲线),SOC和电路中实际电压的变化如图8-10所示。

图7 电池单体的等效电路模型

图8 脉冲放电电流

图9 SOC变化

图10 电路中实际电压变化
3.5 电池包等效电路模型
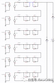
整个电池包及冷却回路的几何模型如下一节中图13所示,电池包由10个模组组成,每个模组中有6个电池单体。电池单体间为串联关系,模组间也是串联关系。单个模组的ECM电路如图11所示,整个电池包的ECM电路如图12所示。

图11 单个电池模组等效电路模型

图12 电池包等效电路模型
4.1 CFD基础模型设定
电池包及冷却回路的几何模型如图13所示,冷却回路几何模型如图14所示。冷却液为水和乙二醇的混合物,入口流量为10L/min,冷却液温度20℃。冷却管路材料为铝,电芯材料的导热系数是各向异性的。材料属性见表1。这里CFD基础模型的计算用于提取降阶模型的所需的阶跃响应曲线。在这种情况下的阶跃响应就是施加一个恒定的热源,记录电池芯体的体平均温度。

图13 电池包几何模型

图14 电池包冷却回路几何模型
表1 流体和固体材料属性
密度 kg/m^3 | 比热 J/Kg-K | 导热系数 w/m-K | 粘度 Kg/m-s | |
冷却液 | 1075.403 | 3261.963 | 0.377 | 0.00463 |
铝 | 2719 | 871 | 202.4 | --- |
电芯 | 2600 | 1000 | 各向异性 | --- |

电芯导热系数 | |
方向 | 导热系数 |
厚度方向 | 4W/(mK) |
垂直方向 | 10W/(mK) |
第三方向 | 12W/(mK) |
4.2 CFD网格模型
初始几何模型使用ANSYS的几何处理工具SpaceClaim中进行几何预处理,并处理各个域中间的拓扑连通关系。使用ANSYS Fluent全新的水密网格工作流程处理表面,该流程自动化程度高,流程化的操作方式简单易用,网格质量非常好。本文中电池包模型面网格数量308万,体网格类型为多面体网格,体网格数量为567万。体网格整体及截面示意如图15所示:



图15 三维CFD网格模型全局和局部截面图
4.3 CFD基础模型结果
在不同的电芯上定义恒定热源,记录电芯上的体平均温度的变化曲线。由此会得到一系列的响应曲线,图16展示的是部分响应曲线。

图16 三维CFD模型提取出的部分响应曲线
对于重复的CFD基础模型计算,ANSYS Fluent有相应的ACT工具包RomExtract,可以通过Parameters工具定义输入和输出参数,自动完成一系列基础模型的计算,并自动提取出所有阶跃响应曲线,可以直接用于生成降阶模型。
5.1 降阶模型介绍
电池热管理的三维CFD仿真可以得到非常精确的结果,但是对于电池模组或电池包来说,CFD模型通常网格量比较大,计算耗时较长。对于瞬态的热分析,尤其是分析很多种瞬态工况,往往需要多次重复这种大规模的计算。而降阶模型可以得到和三维CFD仿真同样的精度,但计算时间可以降低到秒级,可以大幅提升仿真效率。
本文用到的降阶模型是LTI ROM(Linear Time Invariant,Reduce Order Model)。当系统是一个线性时不变得系统时,如果两个LTI系统有相同的脉冲响应时,两个系统就是等价的。LTI ROM降阶的数学本质是计算卷积,如17所示。卷积运算利用脉冲响应和输入,然后直接计算输出。不需要几何,网格或其他任何信息。LTI系统由脉冲响应表征。阶跃响应对时间的导数就是脉冲响应,因此LTI系统的输入就完全有阶跃响应表征。卷积运行需要几秒钟,比CFD计算快得多。[7]
确定LTI系统需要的参数就需要确定阶跃响应,阶跃响应就是由三维CFD模型计算的。这就是一维和三维的耦合。使用ROM,热问题就被处理成一个系统,输入是热源,输出是温度。LTI ROM的生成过程如图18所示:

图17 卷积作为一种降阶方法

图18 ROM的生成过程
5.2 降阶模型建立
在Twin Builder软件中使用ROM生成器,利用CFD计算得到的一系列响应曲线,可以自动生成降阶模型,如图19所示。本文中降阶模型的输入对应10个电池模组上的热源,输出为60个电芯上的平均温度。

图19 生成降阶模型
6.1 ROM计算结果
计算电池充电过程中的温度变化,在电池包等效电路模型中,外部负载设定为随时间变化的电流,变化曲线如图20所示,以45A左右的电路充电,当快充满时,电流逐渐下降。ROM模型中的输入定义为电池由于电流通过而产生的热量,即焦耳热。联合后模型如图21所示。

图20 充电电流曲线

图21 ECM和ROM联合
ROM计算结果:模组编号和每个模组上显示温度曲线的中间电芯位置如图22所示,电芯上的平均温度曲线如图23所示。电芯温度都有升高,并且温度相差很小,最高温度约为295.4℃。根据曲线的排列顺序可以看出,冷却回路最末端的模组9和10上的平均温度最高,这是因为冷却液在冷却电芯过程中被加热,温度略有升高,因此冷却回路末端的电芯温度略高。电芯温度最低的是模组1和2,因为冷却液温度最低。模组3-8的下方管路中冷却液流量减少,但温度升高,所以模组3-8的温度居中,分布规律也是冷却液温度较低一侧(模组3和4)的电芯温度低,冷却液温度较高一侧(模组7和8)的电芯温度高。图24为图23中选出模组1,6和10上的电芯温度曲线。

图22 模组编号及每个模组上显示温度曲线的电芯位置示意图

图23 各个模组上中间电芯温度变化曲线-ROM

图24 模组1,6和10上中间电芯温度变化曲线-ROM
图25为模组10上的6个电芯的温度变化曲线,由于环境的影响,两侧电芯的温度略低于中间电芯,但温度差别小于1℃。

图25 模组10上各电芯的温度变化曲线-ROM
6.2 CFD验证计算
将充电过程中随时间变化的热源,以Profile的形式加载在三维模型上,计算瞬态的温度变化过程。充电结束4800s时刻的电池包温度云图如图26所示,可以看出单个模组上的温度差别。提取模组10上各电芯的平均温度曲线,如图27所示,对比ROM计算结果图25,结果非常吻合

图26 电池包整体温度云图

图27 模组10上各电芯的温度变化曲线-Fluent
提取各个模组中间位置电芯的平均温度变化曲线,如图28所示。图29是其中模组1,6和10的中间电芯温度曲线。趋势与ROM计算结果一致。

图28 各个模组上中间电芯温度变化曲线-Fluent

图29 模组1,6和10上中间电芯温度变化曲线-Fluent
将ROM计算出的和三维验证模型计算出的模组1上电芯平均温度曲线对比,如图30所示,计算二者的偏差,偏差为0.017%。同样方法计算模组6和模组10上的电芯温度偏差分别为0.014%和0.04%。由此可见,降阶模型计算出的结果与三维CFD基础结果误差非常小,三维CFD模型的计算需要多CPU并行计算几个小时,而降阶模型的计算确实秒级。对于重复的多工况瞬态计算可以节省大量的仿真计算时间。

图30 ROM与CFD计算结果对比
本文利用一维和三维耦合的电池热管理方法,通过对一个简化的电池包模型仿真,验证了降阶模型可以得到和三维CFD计算同样的精度。接下来我们将使用这种方法对真实的电池包模型进行仿真,可以与实验结果进行对比。该方法的准确度已经在国外主机厂得到验证。
对于这种降阶的方法我们未来还有很多工作要开展。Twin Builder中有很多种降阶模型,例如SVD ROM(Singular Value Decomposition)可以将降阶模型的计算结果转换出三维分布结果。由于温度对等效电路模型参数的影响,还可以通过ECM和ROM双向耦合的方法将温度的影响考虑到参数拟合中。
参考文献(References):
[1] Twin Builder 19.2 Datasheet ANSYS,Inc
[2] 王福军. 计算流体动力学分析-CFD软件原理与应用 北京:清华大学出版社,2004.
Wang Fujun,Computational Fluid Dynamics Analysis - CFD Software Principles and Applications Beijing: Tsinghua University Press,2004. (in Chinese)
[3] Chen M., Rincon-Mora G. A., “Accurate electrical battery model capable of predicting Runtime and I-V performance,” IEEE Trans. on Energy Conversion, vol. 21, no. 2, June 2006.
[4] Xiao Hu, Lewis Collins, Scott Stanton, A Model Parameter Identification Method for Battery Applications.SAE Technical Paper 2013-01-1529, 2013.
[5] Jiang, Shugang, “A Parameter Identification Method for a Battery Equivalent Circuit Model,” SAE Technical Paper 2011-01-1367, 2011.
[6] Genong Li, Battery Model’s Parameter Identification Procedure in Fluent, ANSYS, May 31, 2018
[7] Xiao Hu, 电池培训讲义,ANSYS,May 2018