前言:为什么要进行弱磁控制?简单的原因就是扩大调速范围,避免高速运行时反电势增大导致电压饱和而造成转矩下降。本期文章介绍电压反馈闭环弱磁控制,反馈式弱磁控制的实现不依赖于电机参数,提高了系统的鲁棒性。但其不足之处在于通过单一的PI环节修正弱磁电流指令,很难在快速的动态响应和可靠运行之间做到平衡。

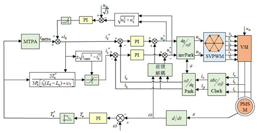
图1 基于电压反馈闭环的弱磁控制框图
在实际应用中,当电机进入弱磁控制区,电流控制器发生输出电压饱和时,电机的输出转矩能力受到较大影响,很可能使永磁体永久退磁,进而导致整个控制系统失控。快速、稳定、精确地追踪输入指令,提升控制系统性能,一直是研究的热点。
电压闭环反馈法引入了一个外部的电压闭环控制器,控制器的输入为电流环输出的电压矢量和极限电压Umax,经过电压闭环控制器输出得到弱磁控制量。图(1)中的控制量为d轴电流,这种控制方法被称为负id补偿弱磁法。此方法可以满足电压和电流的限制,而无需利用电机参数。
在电机控制中,进行弱磁控制的主要原因是为了扩大电机的调速范围,特别是在高速运行区域,同时避免因磁饱和导致转矩下降或效率降低。以下是对使用弱磁控制原因的详细分析:
当电机转速接近其基速(即额定转速)时,由于反电势EMF的限制,电机的输出转矩将逐渐减小。为了维持转矩输出,必须降低电流,但这会导致功率损失。通过弱磁控制,可以在不牺牲功率的前提下,提升电机的转速,从而拓宽电机的调速范围。弱磁控制通过调整电机的励磁电流(对于同步电机)或定子电流(对于异步电机),减少电机内部的磁通量,使电机能够在高于其额定基速下运行。
在高速运行时,电机的反电动势将增大,可能导致电压饱和。为了避免电压超过逆变器的最大输出电压,需要进行弱磁控制,通过调整电流矢量,使其向d轴偏移,从而降低q轴电流,减小反电动势,防止电压饱和的发生。

图2.1 电机运行区间划分
永磁同步电机具有较高的转速范围,当运行速度在额定转速以下时,一般采用MTPA或id=0的控制策略进行恒转矩输出,此时处于恒转矩区。但随着速度的不断增大,进入恒功率区,会受到逆变器的最大电流和电压的双重约束,这个约束的大小主要取决于逆变器自身的物理特性和电机的物理极限。

由电压方程可以看出,当转速上升时,会导致电压Us上升,但是电压会受限于SVPWM输出的极限电压。此时若继续上升转速,逆变器将不能提供,因此需要削弱Us,就需要削弱励磁磁通。但永磁同步电机的永磁磁通在设计完成后由永磁体的磁场强度决定的,无法干预改变,最终只能通过间接的调节定子电流矢量来起到弱磁的作用,进而达到维持电压不超出极限电压的目的。
考虑稳定状态的情况,以及电机高速运行时,将电流微分项和电压压降项省略,可以将电压方程简化为:

从上式方程可知,若电机参数不变,可以将定子电流减小使得Us减小,即可以通过减小d轴电流id或者减小q轴电流iq两个方式来降低励磁磁通。
方式1:在电流环的d轴给定的控制过程中,叠加一个与定子反向的直轴去磁电流id值,以使得d轴给定电流减小,且幅值随电机转速上升而增大,弱磁作用不断加强,控制过程中保持定子电压不超过极限电压。
方式2:在电流环的q轴给定的控制过程中,叠加一个负的iq值,但由转矩方程可知永磁同步电机的电磁转矩主要由iq的大小决定,所以减小iq对于电机电磁转矩会产生很大的影响。
IPMSM调速系统在实际运行过程中,会受到相应的限制,主要包括逆变器输出的最大电压以及最大电流能力的约束,因此需要在约束条件下合理规划电流轨迹。
电压约束是指逆变器所能输出的最大电压约束,一般逆变器的母线电压Udc是恒定不变的。目前矢量控制系统中一般使用性能更优的SVPWM调制技术,因此所能输出最大的电压矢量幅值记为Umax,则满足:Umax=Udc/sqrt(3).因此电机运行满足以下的电压约束条件:
同理,电流约束主要取决于逆变器的输出电流以及电机定子绕组所能承受的最大电流,这两个值中较小的电流值作为极限电流值,将电流极限值设为imax。因此在dq坐标系下,电流的约束条件为:


图2.2 电流极限圆和电压极限圆
电压的极限圆随转速的提高而内缩,电流极限圆保持不变。综上所述,电机在实际运行过程中需要考虑电压和电流共同约束,需要规划定子电流工作在电流极限圆和电压极限圆的共同部分。若不满足任何一个约束条件,即电流工作点落在电流极限圆或者电压极限圆之外,电机将不能在高速下维持恒功率调速。并且随着电机不断升速,电流极限圆与电压极限椭圆的公共部分区域会越来越小,也即电机所能运行的范围也越来越窄,因此对电流规划的要求也越来越高。

图2.3 MTPV控制曲线
图中W1对应的电压极限圆上的工作点A所对应的输出转矩Te1最大,可以由几何关系得到,恒转矩曲线Te1与该电压极限圆相切于A点。同时恒转矩曲线Te2与电压极限圆相交于B点,可对比发现Te1比Te2大,且该切点对应的转矩比在该椭圆所有的电流工作点所对应的转矩都大。
因此在所有转速下,将恒转矩曲线与对应速度下的电压极限圆相切的所有切点连接起来就形成了MTPV曲线。若控制电机的定子电流能够沿着MTPV曲线运行,就称该控制为MTPV控制。
根据以上理论可知,弱磁控制的重点就是如何控制定子电流的轨迹,使其满足在电流极限圆和电压极限圆的约束下,让电机稳定并快速地进入弱磁区域。

图2.4 电机最大输出转矩定子电流矢量轨迹
在图(2.4)中,当永磁同步电机输出最大转矩Tem时,转折速度为Wn,该速度对应的电机电压极限椭圆为点A所在的电压极限椭圆。此时电机能够输出的最大转矩为A所在的恒转矩曲线确定的转矩Tem。
继续升高永磁同步电机转速到Wn1时,电机电压极限椭圆缩小,使得点A落在转速Wn1对应的电压极限椭圆外。电机无法跟踪落在电压极限椭圆外的点对应的电机交、直轴电流,此时电机能够输出的最大转矩减小。

图3.1 基于电压反馈闭环的弱磁控制系统仿真

图3.2 d轴补偿电流和电压环输入波形变化

图3.3 速度波形变化(额定转速:3000rpm)
从图(3.2)可知,在1.2秒时,转速超过基频(电机额定转速为3000rpm,但电机实际运行在4000rpm),d轴弱磁补偿电流反向增大。定子电压在超过限幅值后立即调节到限幅值之内,说明基于电压反馈闭环的弱磁调节起到扩速的作用。