目录
焊接是一个复杂的热机械过程,会在材料中产生残余应力和变形。在 Abaqus 中,模拟焊接过程的常用技术之一是生死法 (Birth-Death method) ,该方法通过顺序激活有限元来模拟材料沉积。该方法通常与 Fortran DFLUX 子程序结合使用,以基于 Goldak 的双椭球模型定义移动热源。
本文提供了有关在 Abaqus 中实施单道焊接模拟的生死法 ,使用 DFLUX 子程序中的 Goldak 热源模型的详细指南。
采用 Goldak (1984) 首次提出的双椭球形体积热源进行模拟
MIG、TIG 等焊接工艺
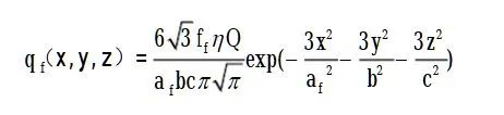
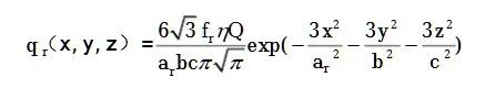
Goldak 模型广泛用于表示焊接仿真中的热通量分布。该模型将热源分为两个区域:
前椭球体(高穿透区域)
后椭圆体(热量分布更广)
每个区域的体积热通量由下式给出:


这里:
总输入功率(W)
前后热量分布因素
椭圆体的形状参数
热源坐标
热源参考位置

该方法通过在不同时间步骤激活元素来模拟焊接材料的沉积。
首先,焊接元件处于停用状态 (热导率低或被移除)。
随着热源的移动, 元素逐渐被激活 。
Fortran DFLUX 子程序用于定义与时间相关的热输入。
在 Abaqus 中创建平板几何体 。
定义材料特性 (热导率、密度、比热、弹性、塑性)。
将焊接路径划分为单独的元素集 (例如, Weld_Pass1 )。
使用焊接区域的细元素对模型进行网格划分 (建议使用 C3D8T 元素)。
首先使用 *MODEL CHANGE, REMOVE 停用焊接区域。
使用 *MODEL CHANGE, ADD 在不同步骤激活元素。
例子:
** Deactivate weld elements initially*MODEL CHANGE, REMOVEWeld_Pass1** Activate weld elements in Step 1*MODEL CHANGE, ADDWeld_Pass1
DFLUX 子程序实现了 Goldak 的热源方程。
SUBROUTINE DFLUX(FILM,COORDS,JTEMP,TEMP,TIME,DTIME,NOEL,NPT,1 LAYER,KSPT)INCLUDE 'ABA_PARAM.INC'DOUBLE PRECISION FILM, COORDS(3), TEMP, TIME(2), DTIMEINTEGER NOEL, NPT, LAYER, KSPT, JTEMP! Heat source parametersDOUBLE PRECISION Q, ff, fr, a, b, cf, cr, x0, y0, z0, x, y, zPARAMETER (Q=3000.0, ff=0.6, fr=0.4, a=6.0, b=4.0, cf=3.0, cr=5.0)! Heat source centerx0 = 5.0 * TIME(1) ! Moving along x-axisy0 = 0.0z0 = 0.0! Extract coordinatesx = COORDS(1) - x0y = COORDS(2) - y0z = COORDS(3) - z0! Compute front and rear heat fluxFILM = (6.0 * SQRT(3.0) * ff * Q / (a * b * cf * PI * SQRT(PI))) *1 EXP(-3.0 * (x**2 / a**2) - 3.0 * (y**2 / b**2) - 3.0 * (z**2 / cf**2))FILM = FILM + (6.0 * SQRT(3.0) * fr * Q / (a * b * cr * PI * SQRT(PI))) *1 EXP(-3.0 * (x**2 / a**2) - 3.0 * (y**2 / b**2) - 3.0 * ((z - z0)**2 / cr**2))RETURNEND
步骤 4:载荷和步骤定义
定义传热步骤 ( *HEAT TRANSFER )
使用 DFLUX 施加热通量
包括冷却和机械分析步骤
例子:
*HEAT TRANSFER, STEADY STATE1.0, 100.0
步骤5:运行焊接模拟
保存 Abaqus 模型 。
编译 Fortran 子例程 ( abaqus job=weld user=dflux.for )。
运行模拟并分析结果。
步骤6:后处理
使温度分布可视化。
绘制不同位置的热循环 。
检查残余应力和变形 。
Abaqus 中的 “生死焊接”仿真通过按顺序激活单元有效地模拟了沉积过程。DFLUX 子程序与 Goldak 热源模型相结合, 可以精确捕获热量输入和分布。该方法有助于预测残余应力、变形和温度场 ,使其成为焊接仿真中非常有价值的工具。