
导读:随着经济全球化的快速发展,产品的开发周期越来越短,特别是汽车行业。之前一辆的仿真轮次有几轮,一轮有一两个月,现在轮次大幅度压缩,每轮也极限缩短,有些产品甚至压缩至一个月之内。如何在这么卷的时间内做好CAE,做对CAE,如何高效的做CAE,成为我们从事CAE的头等问题。
CAE仿真分析在各行各业的进程中应用愈加广泛,尤其是汽车行业,如主机厂、零部件企业、新能源企业等。随着CAE技术的快速发展,CAE在产品开中的应用场景也越来越多,传统的一些仿真模拟方法的精度不能满足要求,如碰撞仿真、冲击、挤压、动态球击等工况,在极限载荷下结构件容易出现失效断裂,这种断裂在有些情况下是可以接受的,也是必须的(如前正碰撞过程副车架也车身连接后螺栓需要剪断,进而保护乘员安全);但很多情况是不允许出现断裂失效,否则会出现安全问题。

图1 某整车正面碰撞图

图2 某正碰过程中副车架螺栓断裂图

图3 某新能源动力电池边框挤压失效图
全球钢铁行业工程研究显示,新的先进高强度钢与现代工程设计和计算机辅助工程(CAE)工具的结合使用可以减少25%的车辆零部件。根据不同的碰撞载荷要求,新型的钢材发挥着重要作用。如通常使用双相或TRIP钢来确保在前部和后部压溃区结构中吸收高能量,而其他高强度钢则用于抵御侧面冲击和车顶的压溃,进而实现性能及重量的平衡。

图4 钢材的性能发展演变图
如何在当前更加准确的模拟出断裂情形,方法有很多种,如发展出来的各种断裂失效模型(如JC失效模型、GISSMO失效模型、MMC模型等)也在各行各业的产品开发发挥着重要作用。

Gissmo失效模型是一种唯象损伤力学模型,以非线性损伤累积的方式描述材料从变形到破坏的整个过程,而不用追究损伤的物理背景和材料内部微观结构变化。由于同时考虑了材料在不同应力状态下的失效应变以及应变路径对失效的影响和非线性损伤积累方式,适用于超高强钢板材在复杂工况下的断裂行为表征。
Gissmo失效模型涉及的相关理论非常多,涉及的相关参数也非常丰富,如应力三轴度、失效应变、不稳定性应变、损伤累积指数、应力退化指数、软化指数、中面失效、应变率、网格尺寸等。
Gissmo失效模型是基于材料开发的一种失效模型,材料的力学性能测试及转换至关重要,如测试得到的工程应力应变如何转换成真实应力应变,以及塑性应变等;同时得到的数据如何通过硬化公式外推等等这些都是最基础,也是最重要的。
GISSMO失效模型主要的相关参数有以下:
1、损伤的定义
金属韧性材料的断裂过程实质上是微孔洞的成核、长大、聚合及开裂的过程,此时的损伤累积D会对材料的本构关系产生重要影响,其定义如下:


图5 损伤定义图
假设总面积S对应的应力为σ∗,有效承载面积S ̂的应力为σ,那么:
σ∗≤σ,进一步可得:σ∗=σ(1- D)
由上式可知,在样件拉伸过程中,样件有效截面积S不断减小;当有效承载面积S为0时,此时的D为1,即损伤达到1时,样件断裂。
损伤增量公式的推导及定义如下:
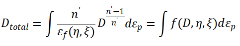
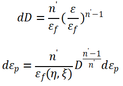
在GISSMO模型中,损伤的表达式如下所示:

损伤增量的表达式如下:
对损伤增量进行积分后,可得总的损伤:
在软件中采用的损伤增量表达式如下:

上式中
表示损伤增量,
表示不同应力状态下的失效应变,n为损伤累积指数,
表示真实的等效塑性应变增量。
当损伤D为1时,材料失效,单元删除。
2、不稳定性增量公式
当材料开始出现颈缩时,表现出材料的不稳定性,采用类似损伤增量的关系式来表征材料的不稳定性,如下式所示。即当稳定性因子F为1时,损伤与应力开始耦合,常见的材料不稳定性主要表现为扩散颈缩和局部颈缩。

上式中
表示稳定性变量增量,
表示不同应力状态下的材料出现不稳定性变形时的局部等效塑性应变,n为损伤累积指数,
表示真实的等效塑性应变增量。
3、损伤与应力耦合公式
随着外力的继续加载,损伤不断增大,而宏观应力不断减小,当损伤为1时,材料失效,裂纹产生,损伤与应力耦合的关系图如下所示。从图中可以看出当材料达到临界应变后,即F=1,此时的应变即为GISSMO中的ECRIT,此时的损伤将会储存到DCRIT中;在此之后,损伤不断增大,宏观应力表现出明显的下降,刚度开始退化,当损伤达到1时,材料断裂,宏观应力为0,宏观应力与损伤的耦合表达式如下所示。

图6 损伤与应力耦合关系图


图7 损伤与应力耦合结果图
1、材料测试
要想获得准确的Gissmo失效模型,需要进行相当多的材料试验,如准静态、动态、考虑应变率、温度、应力状态(应力三轴度)等,典型如:
1)拉伸:准静态、1/s、10/s、100/s、500/s等动态(如0度、30度、45度);圆孔、
2)静态剪切(如0度、30度、45度)、静态剪切拉伸、静态缺口拉伸(如D8、D2、0度、90度)、静态中心孔等试验
3)高速拉伸(如10/s、300/s)
4)高速缺口(100s/1)
5)直角开槽(静态+动态)、开槽剪切
6)穿孔等

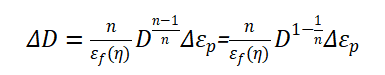
图8 GISSMO样件测试类型图
2、材料拉伸测试
材料样件制作及测试方法可参考《GBT 228.1-2021 金属材料 拉伸试验 第1部分:室温试验方法》,在该标准中详细列出了多种断面样件的类型和计算方法。


3、拉伸试验的数据处理方法
对于试验出的应力应变曲线需要进行转换以及选择合适硬化准则外推得到符合要求的应力应变曲线,此步很关键。常用的拟合公式如下所示:
(1)Ludwik模型,

(2)Swift模型,

(3)Hocky模型,

(4)S-H combined模型,

(5)Voce模型,

(6)Hockett-Sherby模型2,

(7)Stoughton-Yoon模型,

4、拉伸模型标定
将处理过的材料曲线代入仿真模型,通过Ls-opt进行参数标定,将标定后的参数值替换GISSMO对应参数进行仿真,如对拉伸模型进行标定后,其结果如下所示,从结果中可以看出标定后的GISSMO失效模型与试验结果一致性较好,包括断裂应变、断裂时刻等,可用于后续的产品仿真预测。


图9 单轴拉伸标定结果图
7月24日20时,我将在2025年仿真知识周第四期讲座做《GISSMO失效模型及仿真与试验材料失效标定》开展GISSMO知识,将会详细阐述GISSMO拉伸材料参数标定详细过程,敬请关注。请扫码报名和观看。
2025知识周(四): GISSMO失效模型及仿真与试验材料失效标定-仿真秀直播

GISSMO失效模型涉及的相关参数非常多,其主要的三个公式如上所示,分别为损伤增量公式、不稳定性公式及损伤与应力耦合公式。通过总结梳理得到Gissmo专题课程如下,共48节近20小时,感兴趣的小伙伴请关注本套课程,课程目录初步如下,

课程观看地址如下:(可识别下方二维码试看)
https://www.fangzhenxiu.com/course/11305356/

注:购买课程的可以加入专属学习交流群,同时根据需要可提供相关的学习模型,提供的学习模型仅供购买者自己使用,本课程不提供课件!整理的相关模型及干货学习资料如下。
来源:仿真秀App