首页/文章/ 详情

正态分布的这些特点,你都知道吗?

3月前浏览72


      正态分布,这个看似高冷的数学概念,其实早已融入我们技术工作的日常:从API响应时间分析到系统负载预测,从测试结果解读到算法性能优化,它的身影无处不在。今天,就让我们一起深入探索正态分布的核心特点及其在技术领域的关键应用。


一、正态分布的主要特定  

      正态分布曲线显示为典型的钟形曲线,这一形状类似于寺庙中的大钟,因此也常被称为钟形曲线。它有四个关键的参数:均值、方差、偏度以及峰度。理解这四个参数,有助于我们理解正态分布曲线。  

1、均值  

      均值均值描述了分布的中心位置,即钟形曲线的对称轴所在的位置。在标准正态分布中,均值为0。由于正态分布是对称的,因此数据集的平均值 (Mean)、中位数 (Median) 和 众数 (Mode) 三者完全重合于分布中心点,这简化了数据中心的定位和理解。  

2、方差  

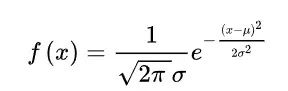
      方差决定了正态分布曲线的形态,它精确量化了数据点偏离均值的平均距离。方差越大,曲线越“矮胖”,数据越分散;方差越小,曲线越“瘦高”,数据越集中。固定平均值不变,改变方差的值,则曲线的位置不变,但随着方差的减小,曲线变得陡峭,如下图所示。这是为什么呢?  

      这是由于正态分布的概率密度函数决定的。正态分布的概率密度函数如下,从表达式中我们可以看出,当方差越小时,曲线的峰值越大,因此曲线也就越陡峭。  

    

      在一组符合正态分布的数据中,约 68% 的数据落在(μ-σ, μ+σ )区间内,约 95% 的数据落在(μ-2σ, μ+2σ )区间内,约 99.7% 的数据落在 (μ-3σ, μ+3σ )区间内。

   

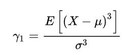
 3、  偏度  

      偏度,也称偏度系数,是用来衡量统计数据分布的偏斜方向和程度的指标,描述了概率分布密度曲线相对于平均值的不对称性。偏度定义为:  

    

      当偏度=0时,表示数据分布完全对称,左右尾部长度相等,例如正态分布的偏度即为0。当偏度>0,称分布为正偏,较多的数据值偏离了平均值向左侧集中;当偏度<0时,称分布为负偏,较多的数据值偏离了平均值向右侧集中。若显著异于0,则说明分布与正态有较大的偏离。  

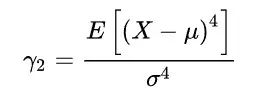
4、峰度  

      峰度是描述数据分布形态陡缓程度的统计量,峰度越大,数据分布越陡峭,尾部越厚;峰度越小,数据分布越平滑。峰度的计算公式为:  

      正态分布的峰度为3,很多情况下,为方便计算,一般将正态分布的峰度值减去3,这样使得其峰度变为0,更方便进行比较。当数据的峰度为0时,表示数据分布的陡缓程度与正态分布相同;峰度大于0,表示数据分布比正态分布更陡峭,而峰度小于0,表示数据分布比正态分布更平坦;峰度的绝对值越大,表示数据分布形态与正态分布的差异越大。  

二、关键应用场景  

    正态分布具有很多典型的应用场景,举例如下:  

1. 性能监控与容量规划  

      应用点:分析系统响应时间、服务器CPU 使用率、网络延迟等指标。  

      实例:API 响应时间通常服从正态分布。监控其 $\mu$ 和 $\sigma$$\mu$ 持续升高:可能预示性能瓶颈。$\sigma$ 异常增大:表明系统稳定性下降,响应时间波动剧烈。基于$(\mu + 3\sigma)$ 设置报警阈值(覆盖约 99.7% 的请求),可有效捕捉异常慢请求,提前预警。  

2. 质量控制与测试  

      应用点:制造过程中的零件尺寸测量、软件测试中的缺陷发现率分析。  

      实例:在硬件生产中,零件关键尺寸(如孔径)通常呈正态分布。通过监控$\mu$ 是否接近设计目标值,以及 $\sigma$ 是否足够小(符合公差要求 $(\mu \pm 3\sigma)$ 在公差带内),确保产品质量稳定。  

3. 算法优化与机器学习  

      应用点:评估算法效果差异、模型误差分析、特征工程。  

      实例:在A/B 测试中比较新旧算法效果(如点击率 CTR)。中心极限定理保证,即使单个用户的点击行为是二项分布,大量用户的平均 CTR 差异近似正态分布。基于此进行假设检验(如 检验),可科学判断新算法是否显著优于旧算法。  

4. 风险管理与预测  

      应用点:金融模型预测、系统故障率预估。  

      实例:量化金融中常用正态分布建模资产收益率(简化模型)。计算投资组合的在险价值(VaR) 时,常假设收益率服从正态分布,估算在给定置信水平(如 95%,对应 $\mu - 1.65\sigma$ )下的最大可能损失。  

三、正态分布的局限  

      虽然强大,正态分布并非万 能钥匙存在的主要局限性如下:  

      1肥尾现象 (Fat Tails):金融市场极端事件(如暴跌)的发生频率远高于正态分布的预测(黑天鹅事件)。  

      2数据偏斜 (Skewness):用户收入分布、网络流量高峰往往呈现右偏(长尾),均值大于中位数。  

      3多峰分布 (Multimodal)融合不同用户群体的数据(如成人与儿童的身高)可能呈现双峰或多峰。  

        面对复杂数据,需灵活选用其他分布(如对数正态分布、泊松分布、t 分布)或结合领域知识进行转换分析。正态分布的魅力,在于它用简洁的数学语言揭示了纷繁数据背后的稳定结构。理解其对称之美、标准差之妙及中心极限定理之伟力,我们便能更敏锐地洞察系统性能、更科学地验证技术方案、更精准地评估风险与收益。在技术的世界里,正态分布不仅是一个统计模型,更是一把开启量化认知的钥匙。善用其力,让数据真正服务于我们的创造与决策  

 


来源:芯片封装设计与制造
控制
著作权归作者所有,欢迎分享,未经许可,不得转载
首次发布时间:2025-07-22
最近编辑:3月前
陈皮糖
硕士 签名征集中
获赞 63粉丝 29文章 29课程 0
点赞
收藏
作者推荐

PCB设计必知:SMD还是NSMD?一字之差,天壤之别!

一块价值数千元的芯片,因为焊盘设计上一个字母的差异,在高温回流焊后悄然断裂,整批产品报废召回——这不是危言耸听,而是许多工程师踩过的血泪坑。微米级的焊盘设计,正在暗中主宰着电子产品的生死。 在精密复杂的PCB世界里,SMD(Solder Mask Defined) 与 NSMD(Non-Solder Mask Defined) 这对看似只有一字之差的“兄弟”,实则在结构、性能和应用上有着云泥之别。选错焊盘,轻则良率下降,重则整机失效,堪称电子工程师的“生死抉择”。 一、核心差异:谁在定义焊盘边界? 理解SMD和NSMD的关键,在于谁定义了焊盘最终的可焊接区域边界: 1、SMD(阻焊层定义焊盘) 结构特征: 铜焊盘(PAD)的尺寸大于阻焊层(Solder Mask)开窗的尺寸。 定义方式: 阻焊层开窗的形状和大小直接决定了最终暴露出来的、可供焊接的铜区域。阻焊层像一道“围墙”,严格限制了焊锡可以接触到的铜的范围。 2、NSMD(非阻焊层定义焊盘): 结构特征: 阻焊层开窗的尺寸大于底层铜焊盘(PAD)的尺寸。 定义方式: 最终暴露出来的、可供焊接的铜区域完全由蚀刻形成的铜焊盘自身形状和大小决定。阻焊层开窗只是提供了一个更大的“窗口”,铜焊盘完全“悬空”在这个窗口中央。 二、SMD vs NSMD:一场微米级的性能博弈 SMD与NSMD的主要区别如下: 特性 SMD(阻焊层定义) NSMD(非阻焊层定义) 结构定义 阻焊开窗 < 铜焊盘,阻焊层定义焊接边界 阻焊开窗 > 铜焊盘,铜焊盘自身定义焊接边界 机械强度/可靠性 优点: 阻焊层像“铜墙”包裹焊盘边缘,提供良好机械支撑,焊点不易从焊盘上剥离(尤其侧向)。 缺点: 铜焊盘“悬空”,与基材结合面积相对较小,机械强度(尤其抗剥离力)通常弱于SMD。 应力/应变 缺点: 阻焊层紧贴铜焊盘边缘,热膨胀系数差异产生的应力更直接作用于铜-基材界面,易导致界面开裂(尤其大尺寸BGA、温度循环剧烈时)。 优点: 阻焊层与铜焊盘间有间隙,提供了应力缓冲带,能更好地吸收和释放热膨胀/收缩产生的应力,降低界面开裂风险。 对准精度/加工 优点: 对阻焊层对准精度要求相对较低,阻焊层稍微偏移对最终焊盘尺寸影响不大。制造相对宽容。 缺点: 对阻焊层对准精度要求极高。阻焊层偏移易导致开窗覆盖不全铜焊盘(影响焊接)或间隙过小(失去应力缓冲优势)。 焊盘尺寸精度 缺点: 最终焊盘尺寸受阻焊层开窗精度和厚度均匀性影响,控制难度略高。 优点: 焊盘尺寸仅由高精度的蚀刻工艺决定,尺寸精度高且一致性好,对精密间距元件(如细间距BGA、CSP)至关重要。 铜层保护 优点: 阻焊层覆盖焊盘边缘铜层,提供物理和化学保护,减少铜层被刮伤、氧化或腐蚀的风险。 缺点: 铜焊盘边缘完全暴露,在制造、运输、组装过程中更易受到物理损伤和氧化/腐蚀。 焊锡量控制 优点: 阻焊层限制焊锡流动范围,有助于形成更规整的焊点形状,焊锡不易过度铺展。 缺点: 焊锡可能沿暴露的铜焊盘边缘过度铺展,影响焊点形状,极端情况下可能造成桥连(对非常细间距元件)。 三、SMD与NSMD的适用场景 没有绝对的“最好”,只有最适合。选择取决于具体应用的核心需求: 首选 NSMD 的场景: 1、高密度互连(HDI)板卡: 尤其是使用细间距BGA(Ball Grid Array)、CSP(Chip Scale Package)、WLCSP(Wafer Level CSP) 等元件的设计。NSMD的高精度焊盘对确保微小焊球可靠连接至关重要。 2、对热循环可靠性要求极高的产品: 如汽车电子(发动机舱、变速箱控制)、航空航天电子、工业控制设备、室外通信设备。NSMD优异的应力释放能力能显著提升产品在严苛温度环境下的寿命。 3、高速/高频信号电路: NSMD焊盘与阻焊层间的间隙有助于减少高速信号传输中的寄生电容效应(虽然影响通常较小,但在极高频率下会被考虑)。 4、需要极高焊盘尺寸一致性的应用。 首选 SMD 的场景: 1、成本敏感型消费电子产品: SMD对制造对准精度的宽容性有助于降低PCB制造成本和不良率。 2、对机械强度(尤其是抗侧向力、抗剥离力)有明确要求的焊点: 例如某些连接器、大型电解电容、功率电感的焊盘。 3、焊盘位于板边或易受外力作用的区域: SMD提供的边缘保护能减少铜层损伤风险。 4、元件焊端/引脚本身设计较大,对焊盘精度要求相对不高时。 四、设计警钟:一字之差的代价 忽视SMD与NSMD的选择,或混用不当,可能导致: 1、焊点开裂/脱落: NSMD用在需高机械强度处,或SMD用在热应力大的BGA上,极易发生界面失效。 2、“枕头效应”(Head-in-Pillow): 焊球与焊盘间出现未熔合缺陷,常见于BGA,NSMD设计不当(如阻焊偏位导致焊盘污染或氧化)可能加剧此问题。 3、焊接不良(虚焊/少锡): SMD设计下阻焊层若侵入过多,导致可焊面积不足。 4、铜层损伤/腐蚀: NSMD焊盘边缘暴露,在恶劣环境下长期工作风险增加。 5、良率波动: 未根据元件和板厂能力选择合适的类型,增加生产难度和不良率。 你是如何在设计中权衡SMD与NSMD的?欢迎在评论区分享你的实战经验或困惑! 来源:芯片封装设计与制造

未登录
还没有评论
课程
培训
服务
行家
VIP会员 学习计划 福利任务
下载APP
联系我们
帮助与反馈