首页/文章/ 详情

AOR:CFD在浮式海上风力机(FOWT)动力学中的应用综述

4月前浏览631

摘 要

 

本文研究了计算流体动力学(CFD)在浮式海上风力涡轮机(FOWTs)中的应用进展。它强调了CFD在流体动力学和空气动力学中的作用,强调了它在分析FOWT性能中的重要性。讨论包括一系列原型,包括各种FOWT平台和风力涡轮机,以及对规模效应的比较评估。对各种CFD软件(包括开源、商业和内部求解器)的独特功能进行了严格分析。该综述深入研究了流体动力学CFD应用,涉及粘性阻尼、数值波槽和波致运动等方面的问题。在空气动力学方面,它探讨了尾流,复杂流入,叶片-塔相互作用等。总结了FOWTs中复杂的气动-水动力耦合挑战,强调了空气动力学和流体动力学的融合。最后展望了FOWT动力学的未来趋势和新挑战,并提出了这个快速发展领域的持续研究和开发方向。本文旨在为研究人员和工程师提供有价值的参考,全面概述当前CFD应用及其对FOWT技术进步的重要贡献。


   


1.简介

为了保护环境,风能在其独特优势的推动下正在快速发展(REN21, 2023)。在此背景下,研究人员越来越关注海上风电,将其作为可持续能源发展的有前景的途径。图1显示了全球陆上和海上风电装机情况及趋势展望。       

海上风力涡轮机通常分为两种主要类型:固定底部海上风力涡轮机和浮动海上风力涡轮机(FOWTs)。固定底涡轮机主要适合在浅水区部署,因为随着水深超过50米的增加,成本会显著增加(Oh et al.,2018;Park et al., 2019)。因此,人们对FOWTs的兴趣越来越大,这是由于在适合海上风力发电的地区发现了不同地点的显著水深。例如,在美国,超过60%的海上风能潜力位于深度超过60米的水域(Wiser et al.,2015)。同样,在与大西洋接壤的西欧,水深小于50米的沿海地区的可用性有限(Wu et al.,2019;O'Kelly and Arshad,2016)。因此,该行业主要依赖浅水区固定底部海上风力涡轮机水域正在扩大其视野(Díaz和Soares, 2020)。最新的代表性FOWT项目如表1所示。

数值和实验建模在FOWT概念的发展中起着关键作用。数值模拟的主要目的是创建一个值得信赖的数值工具,以替代模型尺度的实验,这些实验通常成本高昂且具有后勤挑战性。通过专注于这种模拟的发展,FOWT部门可以克服物理实验中固有的重大财务和实际障碍。今天的数值软件可以分为三个基于保真度的级别:低、中、高保真度(Otter et al.,2022)。

低保真度工具主要用于线性动力学的早期设计阶段。虽然没有专门针对FOWTs的商用频域求解器,但记录了几个内部示例,例如美国国家可再生能源实验室(NREL)的RAFT(浮动涡轮机的响应幅度)(Hall et al.,2022)以及Hegseth和Bachynski为翼轴FOWT设计的半解析频域模型(Hegseth和Bachynski,2019)。中保真度工具,专为线性和非线性载荷下的全局动力学分析而设计,包含各种软件。值得注意的例子,包括NREL的OpenFAST (Jonkman等人,2018),丹麦Risoe国家实验室的HAWC2(水平轴风力涡轮机模拟代码第二代)(Lars和Hansen,2007),SINTEF Ocean的SIMA, Orina和Woods集团的OrcaFlex, 西班牙国家可再生能源中心的OPASS(海上平台锚固系统模拟器)(Azcona等人,2017),Simis的Ashes、挪威DNV(挪威船级社)的Bladed(Hassan,2010年)、柏林工业大学的QBlade和挪威IFE(能源技术研究所)风能部的3DFloat(Nygaard等人,2016年)等。Subbulakshmi等人(2022)和Fadaei等人(2023)最近详细审查了中保真工具。高保真工具,包括用于空气动力学和流体动力学的计算流体动力学(CFD)和用于结构动力学的有限元法(FEM),旨在详细研究在极端条件下局部流动现象、应力热点、提高准确性,并补充实验。

 

本文重点介绍FOWTs的空气动力学和流体动力学的高保真CFD应用。CFD就是上下文中定义为流体力学的一个分支,它通过数值方法求解纳维斯—托克斯方程(即考虑粘性效应),使用计算机进行计算。因此,基于势能理论的方法,尽管有其计算基础,但不在此范围内考虑。

FOWTs仿真软件的选择取决于各种因素,包括财务和时间限制、所需的精度和不确定性水平、建模的FOWT的具体类型以及设计周期阶段。Faraggiana等人(2022)在FOWT的详细设计阶段采用了高保真度的CFD代码,明确了各种FOWT方法的保真度、计算效率和不同设计阶段之间的关系。CFD代码确实为解决复杂的流动问题提供了显著的优势。它们有助于增强低保真度模型并提供精确的见解,特别是在涉及复杂流动、极端条件和非线性挑战的场景中。因此,高保真CFD代码是全面解决FOWT设计和分析的复杂和关键方面不可或缺的工具。正如在其他科学和工程领域一样,CFD为计算机辅助工程(CAE)计算工具(基于比CFD更简化的建模)和通常复杂的现实之间的差距提供了一个有价值的工具。一些CFD技术的成熟程度甚至允许它们与机器学习算法进行有效的交互(Usman et al.,2021)。因此,通过使用CFD模拟工具来改进FOWTs的设计是一种全球趋势,试图限制甚至避免实验,这些实验可能相当昂贵、耗时,并且用于优化目的的用途有限。

构建这一最先进的综述所采用的方法围绕三个关键方面展开。在第2节中,提供了搜索策略,并将主题与以前的作品进行了比较。第3节致力于确定不同平台和FOWTs的代表性原型,这些原型可以作为建模和验证的几何原型的辅助工具。第4节对FOWTs的CFD软件及其内部特性进行了调查,分析了不同数值尺度之间的差异。最后,第5、6和7节评估了CFD在FOWTs的流体动力学、空气动力学和空气-流体动力学中的应用。

2.审查方法

2.1.搜索策略

本文重点介绍了CFD在FOWT中的应用,包括三个子模块:流体动力学、空气动力学和耦合空气-流体动力学。通过使用Web of Science和谷歌Scholar进行详细关键字的搜索,系统地识别了这些文献。这些关键词包括“CFD”、“浮式海上风力涡轮机”、“流体动力学”、“空气动力学”和“空气-流体动力学”。虽然范围包括广泛的研究,但优先考虑在主要期刊上发表的文章,如应用海洋研究、可再生能源、应用能源、能源、海洋工程、可持续能源技术和评估以及海洋结构。此外,其他高被引期刊文章和会议论文集也会被考虑。时间焦点跨越2018年至2023年的近5年期间,反映了该领域的最新发展。

2.2.与以往相关作品对比

目前,FOWTs的流体动力学和空气动力学是研究的焦点,已经发表了一些综述,如表2所示。其中,只有Xu等人(2022)的工作专门讨论了CFD在分析FOWT动力学中的应用。Xu等人提供了一个广泛的概述,围绕各种平台和理论模型组织他们的回顾,包括用于空气动力学的执行器模型、执行器线模型,执行器表面模型,以及用于流体动力学的翼粱,半潜式,TLP和驳船。本文采用了不同的视角,围绕FOWT动力学中面临的具体挑战和详细问题进行构建,并提供了有关CFD求解器本身和当前较新的参考原型进行了一些了解,旨在为该领域提供额外的有价值的参考。

 

图1 全球陆上和海上风电装机及趋势(2018-2027) 资料来源:数据来自GWEC (2023a,b)

 

表1 近年来全球代表性FOWTs项目现状。

 

表2 FOWT动态的相关文献综述

3. 代表性的研究原型

FOWTs的CFD建模的进步主要集中在流体动力学方面,也包括空气动力学方面,这与各种具有代表性的原型密切相关。这些研究提供了详细的实验结果。这些实验项目可以作为原型,为研究人员提供详细的CFD仿真设计参数和模拟蓝图。所得实验数据可作为基准,验证了CFD数数值结果的准确性。FOWTs中使用的浮动平台一般分为四大类:翼粱、半潜式、TLP和驳船,如图2所示。本节将介绍在不同平台上广泛使用的各种实验或项目,作为CFD模拟的基础参考和建议。

3.1.Spar浮动平台

3.1.1.OC3 hywind

由美国国家可再生能源实验室(NREL)领导的海上代码比较协作(OCC)在推进海上风能技术和建模方面发挥着至关重要的作用。第一个这样的项目OC3 Hywind,其最终报告于2010年发布(Jonkman和Musial, 2010),是第一个涉及浮式海上风电技术的项目。在这种情况下,NREL 5MW风力涡轮机安装在水深320米的浮式翼粱浮标平台上。所选择的翼粱浮标概念被称为Hywind,因为它是由挪威国家石油公司开发的同名浮标所模仿的。之所以做出这样的选择,是因为它设计简单,适合建模,而且存在一个全尺寸的原型。

对原始数据的某些方面进行了调整,以确保平台设计无缝地适应NREL 5MW基线涡轮机。OC3-Hywind系统的特点是一个深水、细长的翼粱浮标,带有悬链线系泊线。

 

图2 FOWTs不同平台示意图


3.1.2.COREWIND WindCrete

如表1所示,行业趋势是朝着更大的浮式涡轮机发展,因此以前的平台设计不再适合这些更大的涡轮机。作为回应,人们提出了新的平台概念来适应,其中,WindCrete Spar (COREWIND, 2024)作为代表之一脱颖而出。WindCrete Spar由加泰罗尼亚政治大学开发,由欧盟地平线2020项目COREWIND资助,旨在支持IEA 15MW参考风力涡轮机。该设计以其无连接接缝的混凝土结构和155 m的吃水而闻名,其几何形状如图3所示(最新论文(Mahfouz等,2021)对塔的高度进行了重新设计,以承受塔底的更高载荷)。为了增强俯仰角方向的静压刚度,在底部集成了一个镇流器(图3中的彩色网格区域)。Mahfouz等人(2021)和Molins等人(2018)广泛记录了更多参数和细节。此外,最新研究(Mahfouz等人,2021)利用OpenFAST进行自由衰减测试,并分析配备IEA 15MW涡轮机的WindCrete对各种风浪条件的响应,为未来大型翼粱平台的研究提供了非常宝贵的综合数据集。IHCantabria (COREWIND, 2022)以1:55的比例进行了120多项实验测试,包括完全耦合的波浪-电流-风测试以及WindCrete的安装测试。

在OC6第四阶段,对Stiesdal Offshore TetraSpar进行了广泛的研究,这是一种新型的翼粱设计。所有相关信息均已在报告中公布(Wiley et al.,2023)。

3.2. 半潜式浮动平台

3.2.1.OC4/OC5/OC6 DeepCWind

自OC4以来,随着首个WindFloat原型的成功部署,重点从翼粱转移到半潜式(Roddier等,2010)。半潜式FOWT由于其吃水力和完全在陆上建造的能力而用途广泛。然后它们可以通过悬链线进行运输和系泊。NREL的Deep-CWind项目提供了一种开源的半潜式设计,已成为许多CFD研究的基准案例。它的最终原型被称为OC4 DeepCWind半潜式平台。

大多数OC4研究使用了缅因大学监督的测试活动(Coulling et al.,2013)的数据。该活动涉及2011年在MARIN近海波浪盆地进行的测试。然而,几何缩放的OC4模型在低雷诺数风条件下没有达到预期的效果。此外,在OC4项目中只考虑了浮子的特性(质心、惯性等),而OC5项目将其范围扩大到包括整个系统的特性,包括对系泊线的修改。因此,为了获得更好的推力和扭矩负载,他们建立了一个新的模型,并在2013年进行了重新测试,并用于OC5项目的第二阶段(Robertson等人,2017年)。

DeepCwind项目在MARIN进行了两项新的波浪罐验证活动,称为OC6第一阶段,以加强对非线性水动力载荷的理解。在la阶段,浮动系统从OC5的测试配置中进行了简化,以尽可能多地消除测试中的不确定性,重点是识别工程模型中最被低估的水动力部件(Wang等人,2022b)。随后,在Ib阶段进行了新的验证活动,以分析流体动力载荷并验证CFD模型(Wang等人,2021c)。整个OC6第一阶段利用这些实验的测量结果验证了仿真模型,以揭示导致一些非线性水动力响应预测不足的原因(Wang等,2022c)。随后,第三阶段也详细研究了运动下的空气动力学(Bergua et al.,2022;Robertson等人,2023)。   

值得一提的是,为了跟上风力涡轮机大型化的趋势,最新正在进行的OC7项目开始利用更大的浮动平台作为研究基础,例如wind-moor平台(Silva de Souza et al.,2021)。它解决了三个关键挑战:适应不同浮式结构的流体动力学建模,在大型涡轮机的设计中纳入结构灵活性,以及了解浮式风电场内部的尾流效应。

3.2.2. VolturnUS-S

由于它提供的信息,DeepCWind原型已成为当前研究中最常用的模型,如表6和表8中随后的总结所示。然而,DeepCWind的设计在适应更大涡轮机的趋势方面存在不足。因此,近年来已经看到了创新的半潜式漂浮器的发展,旨在满足这些新的需求。缅因大学和NREL的VolturnUS-S (Allen等人,2020)就是其中的代表。

VolturnUS-S是一种参考浮式海上半潜式风力涡轮机,旨在支持IEA 15MW参考风力涡轮机。其几何结构如图4(a)所示。使用理论方法和WAMIT对其结构特性进行了详细分析,同时考虑了系泊系统和浮动塔的设计,如Allen等人(2020)所阐述的那样。此外,基本的水动力试验,包括静态浪涌-摇摆偏移量和自由衰减试验,已经通过OpenFAST进行了严格的评估,并计算了RAOs,提供了全面的基础研究。此外,Zhong等(2023)使用OpenFOAM批判性地研究了VolturnUS-S在畸形波下的流体动力学行为。

3.2.3. COREWIND activefloat

另一个例子是Activefloat半潜式平台,如图4(b)所示,由Grupo Cobra和Esteyco在COREWIND的资助下开发,由混凝土制成,旨在支持IEA 15MW风力涡轮机。该原型的几何形状和全面细节可在Mahfouz等人(2021)中找到。使用OpenFAST进行了模拟,包括衰减测试和各种风浪情景下的运动分析,模型可通过开源获取(COREWIND, 2020)。此外,在IHCantabria进行了使用1:40比例模型的测试活动(COREWIND, 2022)。

鉴于下一代FOWT的兴趣和未来潜力日益增加,本文总结了梁式和半潜式浮动原型,详见表3。所有引用的参考文献均来自设计的建筑师,提供了全面的设计参数和可靠的实验测试,从而为读者提供了清晰的见解。

3.3. 张力腿漂浮平台

TLP主要依靠系泊缆绳保持稳定(Jiang, 2021)。由于平台运动有限,它们适用于中等水深(Bachynski and Moan, 2012)。Bachynski and Moan(2012)将TLP归纳为5种基线设计,如图5(a)所示:TLP1基于MIT-NREL设计(martha, 2010),TLP2为3足式,位移接近TLP1的60%,初始肌腱张力为TLP1的70%,TLP3大约是源自海星石油平台的半比例版本,TLP4和TLP5的灵感来自GLGH (Henderson et al., 2010),具有不同的浮筒设计。对这些设计在各种海况下的非线性耦合分析和详细比较进行了研究。结果表明,TLP3和TLP4具有较大的浮筒半径,整体性能较好。

目前,有几个商业TLP项目已经建成或正在建设中,例如X1wind公司在2023年的X30项目,这是第一个投入运营的TLP项目,Iberdrola公司的TLPWIND项目,PelaStar公司的PelaStar项目,以及SBM公司的https://www.sbmoffshore.com/newsroom/news-events/sbm-offshore-launches-float4windtm Float4WindTM & Provence Grand Large项目。其中,TLPWIND因其成熟的性质和全面的设计和实验参数而备受学者的青睐,这些参数都是公开的。Iberdrola进行了精细的比例(1:36.67)测试(Oguz et al., 2018),实验模型设计和设置如图5(b)所示。进行了各种各样的实验,包括浪涌和俯仰运动中的自由振荡测试,以及规则和不规则的波浪诱导运动。随后将所有得到的数据与FAST中进行的数值模拟进行比较,为潜在的研究提供了稳健可靠的参考。Zamora-Rodriguez et al.(2014)也对TLPWIND进行了一系列详细的模型实验。

KIER TLP平台代表了一种适用于大型涡轮机的替代TLP概念,由韩国能源研究所(KIER)开发。Madsen等人(2020)和Kim等人(2023)与DTU 10MW风力涡轮机一起进行了1:60比例的实验和模拟,详见他们的研究。针对IEA 15MW风力发电机的最新发展,也提出了一些新的大型TLP概念(Pierella et al., 2022),但它们不像前面讨论的梁式和半潜式平台那样成熟。

3.4. 驳船浮式平台

与其他类型的浮式平台相比,驳船浮式平台可能是FOWT需求不高的一种类型。事实上,只有少数商业项目利用了这一概念,如法国的Floatgen(2018年)、日本的Hibiki(2019年)和西班牙的DemoSATH(2022年)。尽管如此,这种驳船通过浮力稳定,在减少总重量、成本和建造复杂性方面具有优势(Jonkman和Matha, 2011)。因此,人们进行了大量的研究来研究驳船浮子的动力学和优化。其中,ITI能源驳船平台是最常被选择的原型之一,如图6所示。

ITI驳船由8条悬链线系泊,其中2条线来自驳船底部4个角的每个角。ITI驳船的详细参数由Jonkman(2007)和Vijfhuizen(2006)提供。

 

图4 目前较大的半潜式平台设计

 

图5 经典的TLP设计

 

表3 翼粱和半潜式原型的参考摘要

 

图6 ITI能源驳船平台(Yang等,2021)

 

表4 代表性参考风力涡轮机的比较

在他的论文中,Jonkman(2007)使用FAST在各种负载情况下对ITI驳船平台和NREL 5MW风力涡轮机进行了详细的动态模拟。此外,Palraj和Rajamanickam在2020年以1:50的比例进行了一系列引人注目的ITI驳船实验,有和没有风力涡轮机(Palraj和Rajamanickam, 2020)。这些测试包括自由振荡测试、规则波诱导运动和不规则波诱导运动,为验证CFD模拟提供了有价值的数据。

虽然将废弃船只改造成驳船平台可以降低成本,但驳船的实用性面临着限制。这些限制包括高塔基弯矩、波浪相互作用产生的纵摇动态运动、短舱处加速增加以及随系统尺寸变化的波浪载荷(Barooni et al.,2022)。这可能会导致在目前的研究趋势中,驳船平台的受欢迎程度有限,但仍有一个具有代表性的行业案例,即2025年的EOLMED驳船,旨在支持10MW风力涡轮机。

3.5.风力发电机

在讨论了浮动平台的例子之后,有必要为风力涡轮机建立一个气动基准。NREL 5MW风力涡轮机

历年来是研究中最普遍的参考原型,DTU 10MW耶越来越受欢迎。然而,随着行业向大型FOWTs的转变,研究工作越来越多的集中在IEA 15MW参考模型上。这一趋势强调了建立与现代FOWTs不断发展的规模和复杂性相一致的必要性,从而促进更相关和全面的分析。

3.5.1.NREL 5MW

毫无疑问,NREL 5MW风力涡轮机(Jonkman等人,2009年)是这个明确的标准,如表7所示。该参考涡轮机是为海上系统开发而设计的传统的3叶片逆风变速,叶片间距到羽毛控制的涡轮机。技术报告中不仅详细介绍了几何参数,还详细介绍了空气动力学、结构和控制系统特性(Jonkman等人,2009)。对NREL 5MW涡轮的空气动力学进行了大量的CFD模拟,重点关注了空气动力学的各个方面,包括尾流、复杂流入和叶片-塔相互作用。这些研究对于预测涡轮的性能。评估其在不同风况下的结构完整性以及理解尾流相互作用等复杂现象至关重要。

3.5.2.DTU 10MW

DTU 10MW涡轮机(Bak et al., 2013)目前是另一个被广泛认可的参考原型。它主要由丹麦技术大学于2013年开发。bak等人(2013)对该涡轮的气动性能、气动伺服弹性性能和负载响应进行了广泛的研究,使用了各种分析工具,包括CFD、HawcStab2和HAWC2。此外,Madsen等人对安装在张力腿平台上的1:60比例DTU 10MW进行了实验研究(Madsen等人,2020)。这是通过比较HAWC2和OpenFAST模拟(Kim等人,2023)的数值分析来补充的,其中OpenFAST模型是开放可访问的(Xianping,2021)。这些工作共同增强了对DTU 10MW涡轮机在浮动风力应用中的功能的理解和验证。

3.5.3.IEA 15MW

IEA 15MW风力涡轮机是NREL, DTU和uaine在2020年IEA风能任务37下的合作努力,代表了目前可用的一种强大的参考风力涡轮机。它的设计目的是作为一个基准,超越当前一代工业风力涡轮机,但目前还没有到需要积极的技术创新的地步。IEA(2023)提供了全面的资源,包括详细的CAD蓝图,Gaertner等人(2020)的技术报告中提供了关于气动性能的讨论。OpenFAST、HAWC2和WISDEM中的数值模型可以开放获取(IEA, 2023)。IEA 15MW的更大尺寸激发了相应浮式平台的发展,例如前面提到的COREWIND WindCrete Spar和Activefloat半潜式平台(Mahfouz等,2021)。鉴于IEA 15MW最初是为固定底部条件设计的,因此关于其适应更大的FOWTs的讨论存在空白。为了搭建桥梁,Papi和Bianchini(2022)在浮动平台上对NREL 5MW和IEA 15MW涡轮机进行了模拟。该分析评估了涡轮机的性能和负载响应,解决了FOWTs升级中的关键技术挑战。

3.5.4.IEA 22MW

2024年4月,IEA 22MW (Zahle et al.,2024)揭幕,这是容量超过20MW的最新、最强大的参考风力涡轮机,标志着风能研究的一个重要里程碑,标志着向20+MW前沿的转变。可获得OpenFAST、HAWC2和CAD的模型数据(IEA, 2024)。表4详细说明了IEA 22MW的特点,与前代产品相比,它的叶片更大,系统更重,突出了IEA 22MW的优越规格。涡轮机参数的演变强调了对浮动平台进行创新设计和研究的迫切需求,以适应这些下一代涡轮机。由于IEA 22MW在本综述的修订期间刚刚发布,目前还没有基于它的研究。

考虑到FOWTs的激增和文章长度,详细介绍工业界和学术界流行的每个模型是一项挑战。到目前为止提到的原型都是代表性的例子,为学者们提供了参考和选择的依据。

3.6.比例效应:模型比例与全尺寸模型

本节中本节中展示的所有原型都是在不同设施中以不同规模进行的实验的良好数据来源。然而,鉴于其数值性质,CFD既可以解决模型规模的模拟,也可以解决全尺寸的模拟。在与模型规模的实验结果进行比较时,自然也会选择模型规模的模拟。即使在按比例的模拟中,也必须使用相对较多的单元,以便在必须提高分辨率的区域充分细化网格。这种提高的单元密度确保了模拟结果的准确性和可靠性,特别是在具有复杂流动动力学或结构相互作用的区域。特别是,靠近运动表面的单元必须变得越来越薄,最终达到相当于物体周围边界层的厚度。在边界层建模的上下文中,通常会定义一个到壁面的无量纲距离,称为y+,并且该边界层的目标厚度将对应于实现y+= 1。由于“壁函数”建模,最小的尺度可能会增加到y+≈50的值,即几毫米。

在本地计算机上进行网格划分和初步运行,最终运行要么在同一台计算机上花费几天时间,要么在计算设备中花费几个小时。

模型尺度的模拟可以提供对全尺寸动力学的深入了解,因为力系数对雷诺数的依赖性对于大型结构(如第3节中提出的结构)很小。因此,使用模型尺度的实验结果来获得FOWTS的粘性阻尼是一种公认的方法。这些模型尺度的CFD结果也可以自然地用于验证CFD研究,进而可以用来推断全尺寸动力学。

全尺寸建模的概念对全尺寸系统的仿真很有吸引力。一种朴素的方法涉及直接缩放模型尺度模拟的所有长度,从而产生等效大小的网格,并以类似的方式运行模拟。然而,边界层的厚度不会正确缩放:该厚度在满尺度下显着减小,因此最小的y+将从50增加到大约10000。正如Peric(2019)所讨论的那样,在这些条件下,边界层的适当处理将需要大约50万个单元的网格。虽然这种规模肯定在计算设备的能力范围内,但用典型的个人计算机处理可能会很麻烦。然而,同样的参考文献也表明,对于这种情况,y+高达1000的值可能是可以接受的,由此得到的全尺寸网格可能比模型尺度的网格大三倍左右,即大约只有10M个单元。事实上,Peric(2019)认为,全尺寸建模可以取代海洋设计中的实验,就像它在汽车和航空航天工程中的部分作用一样。例如,Niklas和Pruszko(2019)等一些作品通过全尺寸CFD模拟解决了船舶阻力问题,作为拖曳舱实验的替代方法,利用了大约3个M单元。虽然这个值可能看起来相对较低,但最近的作品,如Terziev等人(2021)使用了26 M单元。

4、软件

4.1.软件特点

与案例研究的描述相辅相成,为本研究的目标提供对用于数值建模的CFD软件包的见解。分类的一个关键标准是求解器是商业的还是开源的。分类将基于这一因素。

此外,一个重要的区别是在存在自由表面的情况下,当有固体在流体中移动时,如何处理网格。可以找到四个主要的技术家族:

  • 重新划分网格:涉及基于身体运动的细胞分裂和合并。

  • 滑动网格:包括两个不重叠的区域,其中一个区域在另一个区域滑动。

  • 变形网格:单元边缘的行为类似于身体运动变形的弹簧。

  • 覆盖网格:也称为嵌合体技术(Beneket al.,1985),包括一个随身体刚性移动的重叠区域,重叠在静止的背景网格上,通常是笛卡尔网格。在溢流区域和固定区域之间的重叠单元格中执行插值。在Rao等人(2021年)进行的模拟中可以看到这种网格的一个例子,其中背景笛卡尔网格和跟随翼梁运动的移动网格可能会受到赞赏。

另一个值得讨论的重要特征是如何模拟湍流:

  • 直接数值模拟(Direct Numerical Simulation, DNS):湍流被明确地重新求解。扩散仅通过远离感兴趣主体的较大元素实现(Garrido-Mendoza et al.,2015)。

  • 非稳态雷诺平均Navier-Stokes方程(URANS):在FOWTs背景下,剪切应力传输(SST)k-ω湍流模型是最普遍的(Sheidani等人,2023;Rezaeiha and Micallef, 2021)。

  • 大涡模拟(LES):通过对Navier-Stokes方程进行低通滤波,这是计算成本最高的,通过忽略最小长度尺度来降低计算成本,(Zhang and Ishihara, 2018)。

  • 另一个值得讨论的特征是用于跟踪自由曲面变形的算法:

  • 流体体积(Volume of fluid, VOF):属于欧拉方法,其特点是网格要么静止,要么以某种规定的方式移动以适应界面形状的演变,如OpenFOAM。

  • 水平集法(LSM):使用水平集作为表面和形状数值分析工具的概念框架,例如Nematbakhsh等人(2015)的内部代码。

当然,还有其他与如何实现CFD模型相关的方面。可以考虑如何选择具有外域的边界条件,如何施加不可压缩性,以及采用的具体数值方法(例如有限体积,有限元,有限差分等)。虽然这些方面无疑会影响建模过程,但与上面列出的因素相比,它们通常对最终结果的影响程度要低一些。因此,本综述的重点将主要集中在前面提到的关键要素上。

第4.2节首先介绍了执行CFD分析应遵循的程序的总体描述。然后,综上所述,求解器将在商业/开源的基础上进行介绍-来源分类,考虑到其总体意义。下面的章节将从4.3节的开源软件代码开始。商业软件代码将在第4.4节中讨论。

4.2.CFD过程

关于使用CFD解决流体问题,主要阶段包括预处理、求解和后处理,如图7所示。Shourangiz-Haghighi et al.(2020)对固定风力涡轮机的CFD过程进行了详细的描述。虽然固定风力机的CFD模拟与FOWTs有所不同,特别是在捕捉平台运动和流体力学方面,但仍然具有很好的参考价值。

最初的步骤包括明确定义具体目标,无论是以流体动力学、空气动力学还是耦合空气-流体动力学为中心。在此之后,根据所选择的重点对几何和计算域设计进行调整或简化。

在预处理阶段,首先是建立FOWT的几何模型。这个模型需要精确的描述,特别是对于像叶片这样的复杂部件,并且可以通过SolidWorks等CAD工具来实现。随后,边界条件的建立变得至关重要,要根据具体目标进行定制。FOWTs受到各种外力的影响,包括风、波和流,需要定义系统内的流产生和吸收。此外,通常被视为外力的系泊线通常被添加到模拟中,而不是直接集成到CFD建模中。考虑到FOWT模拟中固有的复杂性,基本的CFD工具可能不足以实现特定的目标,因此,在这个阶段可能需要耦合额外的代码或工具。此外,必须明确定义用于捕获第4.1节中描述的湍流和自由表面现象的控制方程和特定求解器方法的关键数值建模方面。

最后,CFD中最关键的一个方面是网格,它对计算成本和精度都有很大的影响,在这一阶段需要非常注意。正如前面4.1节所讨论的,有各种网格划分方法可供选择。网格尺寸的确定应严格进行,与被模拟的模型系统的比例一致。

在预处理阶段之后,由计算机进行模拟。计算处理的持续时间本质上与两个关键因素有关:模拟的保真度水平和计算能力。计算完成后,数值结果可以根据第3节中引用的可信案例进行验证。随后,学者们可以根据自己的具体研究需求进行详细的分析。

4.3. 开源CFD求解器

OpenFOAM是研究社区中最流行的开源代码,由OpenFOAM基金会和OpenCFD有限公司共同开发。这些分支分别在OpenFOAM.org和OpenFOAM.com上提供,它们在更新和特性上有所不同。OpenFOAM基于FVM和VOF,其优点是免费、开源和多种数值格式。但是,它缺乏图形用户界面,依赖于手动代码编辑。对于网格划分,它为简单的情况提供了blockMesh,为复杂的几何图形提供了snappyHexMesh。推荐使用Paraview(Ahrens et al.,2005)进行可视化。波浪建模由IHFoam (Higuera等人,2013)、olaFlow(Higuera等人,2017)和waves2Foam(Jacobsen等人,2012)支持,但在2017年引入了原生支持(CFD Direct, 2017)。值得注意的是,overset方法是OpenCFD分支所独有的,从而提供了增强的灵活性。

值得注意的是,NREL提供了一个独特的工具SOWFA(风电场应用模拟器)。它建立在OpenFOAM的基础上,将涡轮模型的一个版本与FAST结合在一起,与其他CFD求解器不同,它的特点是专注于风力发电场应用。

OpenFOAM是如此通用和流行,以至于几乎所有其他用于FOWTs的开源CFD模型都是基于它的。只是零散的几项研究利用了其他开源软件包,如Code_Saturne (Martin等人,2022)和REEF3D (Windt等人,2021;Aggarwal, 2019)。

4.4. 商业CFD求解器

两个最流行的商业CFD软件包是Ansys Fluent和西门子STAR-CCM+,它们将在以下章节中多次出现。它们已经在包括多相流在内的多个领域得到了广泛的应用和验证。作为OpenFOAM,它们也基于FVM,但提供了一个集成的GUI,允许从设计到模拟到后处理的舒适工作流程。参数由详细的菜单定义,并包含功能强大的CAD和网格工具。然而,代码不是开放的,因此详细的程序是不可访问的。即使有适当的文档,给定算法的具体实现也是未知的。它们也是非自由的,所以当然必须获得许可证,这可能会带来不便和昂贵。在2006年收购Fluent之前,Ansys拥有自己的类似CFD求解器Ansys CFX,由于拥有自己的一致用户群,该求解器多年来一直保持更新并处于商业阶段。

此外,其他类型的商业代码也用于与FOWTs相关的动态研究,如HMB(直升机多块代码)(Leble和Barakos, 2017)。虽然它们可能没有那么广泛,但它们将被整合到以下章节的后续汇总表中。

 

图7 CFD过程的主要步骤

4.5.内部CFD求解器

在某些情况下,作者使用他们自己的内部求解器,最著名的是荷兰MARIN研究中心的ReFRESCO(海上船舶和建筑的可靠和快速运行方程求解器)。将ReFRESCO归类为内部求解器是合适的,因为ReFRESCO团队提供了三个不同的框架:ReFRESCO-Research、ReFRESCO-Operation和ReFRESCO-pro。ReFRESCO-Research对公众研究开放;但是,源代码只对代码开发人员开放。ReFRESCO-Operation需要为商业应用程序付费,而ReFRESCO-pro允许每月提供合作伙伴以项目为基础访问求解器。ReFRESCO利用FVM方法,适用于不同的单元类型,确保与广泛的网格生成包的兼容性。它提供了一系列湍流模型,从RANS模型到高保真混合和比例分辨模型,包括过渡模型,以解决海事工程中普遍存在的挑战。专注于海事应用,ReFRESCO集成了波浪产生、专用螺旋桨体力模型、水下辐射噪声声学模型以及与外部工具(如快速时域仿真框架)的联系等功能。

另一个值得注意的内部开发是CFDShip-Iowa (Li et al.,2015),由爱荷华大学IIHR水文科学与工程创建。此外,VFS-Wind还能够模拟复杂地形上的多物理场/多相流,包括最复杂的湍流模型(RANS、LES)。该工具是在明尼苏达大学的赞助下开发的。

5、CFD应用:流体力学

各种现象和相关的物理变量可以使用CFD建模计算。其中一个基本方面是计算固有频率下的粘性阻尼,通常从衰减测试中获得。这一点很重要,因为FOWTs的流体动力学是用势流面板方法建模的,这些粘性力需要从外部加入到模拟中。还有其他方面需要注意,特别是由于粘性和湍流效应、破波等原因,用势流方法无法充分解决的非线性问题。下面将简要讨论这些方面,包括如何使用CFD对它们进行建模,以及为进一步探索选择的文献参考。

5.1.粘性阻尼

将粘性阻尼作为一个额外的外强迫项引入到时域势流求解中。它在校准这些固有无法表示粘性效应的频域和时域模型中起着至关重要的作用。这些模型被用来模拟浮式风力涡轮机系统的长期行为,并估计系泊载荷和运动统计等参数。

辐射阻尼可用势流面板法估算,而粘性阻尼则需要CFD模型。如果水动力系数(如附加质量和阻尼)的频率依赖性不是主要关注的问题,则衰减测试可能足以描述这些参数。然而,如果对频率相关的行为感兴趣,则有必要进行强制振荡试验。下面的讨论将深入探讨CFD建模在这两种情况下的使用。

为了减少计算(和实验)成本和复杂性,一种方法是关注FOWTs的特定组件或部分。一个常见的例子是升沉板(Jang et al.,2019),通常是圆形的,并添加在柱的底部。因此,许多研究都集中在这些孤立的个体结构上,通常不包括浮子的其余部分(除了通常包括的柱)。

对于大型海上结构(用阻力系数建模),通常包括与分离流相关的阻尼效应,而忽略由于入射波引起的粘性激励力的贡献。这些也可能是对阻力的重要贡献(Nielsen, 2024)(第7.4.5节)。Shao等人(2016)使用内部代码通过比较有和没有粘性激励的情景来研究粘性激励力的重要性。他们发现,粘性激励力在作战海况中并不显著,而在生存条件下却有不可忽略的影响。尽管这方面的研究尚未在文献中展开,但CFD工具可以帮助解决在入射波和物体运动之间的相对速度中应用阻力系数不能准确模拟粘性效应的情况。

5.1.1.衰减测试

在衰减测试中,主要目标是利用CFD结果来预测粘性阻尼,这在非相关周期附近尤为重要。此外,在更大的周期范围内,附加质量可能受到粘性效应的影响,因此,检查潜在流动结果是否受到此类效应的改变是很有吸引力的。另一种理想的测试是使用合理的自然周期响应来检查输入参数。不同类型的运动,无论它们是否涉及自然(起伏,俯仰)或添加(浪涌)恢复力,都呈现出它们的复杂性。

在最近发表于2023年的一项研究中,Zhang等人(2023c)通过将高阶谱(HOS)方法与CFD(STAR-CCM+)相结合,对OC6 DeepCwind平台进行了衰减测试,获得了平台在升沉、俯摇和浪摇运动下的自然周期和阻尼。采用了所有y+壁面处理的SST k-ω 湍流模型。在升沉运动中,CFD计算得到的阻尼项与实验结果接近,尽管自然周期有较小的位移,但随时间的延长而增大。关于俯仰运动,测试以-3.95◦的初始偏移量完成,显示出对阻尼趋势的非常合理的估计。此外,自然周期与实验结果吻合良好,误差在1%以内。在进行浪涌衰减试验时,还应对系泊线进行建模。Zhang等人(2023c)考虑到OC6实验中刚度的不确定性(Wang et al.,2022c),为弹簧阻尼系泊绳增加了阻尼系数,并增加了刚度系数,在自然周期和阻尼方面CFD解与实验吻合良好。

Rao等人在2021年进行了另一项具有代表性的升沉衰减试验研究(Rao等人,2021),使用Ansys Fluent对带有升沉板的Spar进行了衰减模拟,并使用SST湍流模型求解了URANS方程。与实验的对比表明,阻尼和自然周期都有非常好的一致性,在某些情况下,后者在几个周期后只有很小的偏移。

为了分析网格大小和时间步长等几个数值参数对阻尼的影响,Burmester等人(2020b)利用Re-FRESCO模拟了浪涌运动中的OC5 DeepCwind衰减曲线,结果表明,对于这些模拟,结果更多地依赖于网格而不是时间步长。

此外,Rentschler等人(2023)使用两种不同的CFD代码对OC4半潜式原型机和更简单的单缸配置进行了衰减测试分析。OC4样机的浪涌衰减试验结果如图8所示。将OpenFOAM和ReFRESCO两种解决方案与实验数据进行了对比。结果表明,数值计算得到的阻尼与实验结果存在差异,这取决于数值设置和初始输入条件。例如,当限制平台的自由度时,可以观察到明显的阻尼变化,较大的数值不确定性,特别是在后来的振荡中,表明可能需要对机械输入特性进行参数敏感性分析。Palm等人(2016)报告了相同单缸配置的升沉和喘振运动阻尼的合理一致性,但在俯仰衰减测试中存在很大差异。

 

图8 来自OpenFOAM和ReFRESCO的OC4模型衰减运动与实验数据的对比

在目前的技术水平下,CFD衰减测试的配置和执行仍然存在挑战。为了评估数值和实验结果之间的差异,必须严格评估初始条件,如质量、惯性和系泊参数(刚度和公平导联位置),以及准确地重现适当的初始位移,以获得与实验趋势一致的解决方案。

前面所示的所有研究示例都是使用overset网格技术完成的,尽管计算成本增加,但这似乎是捕获衰减测试中预期的相对较大的运动的最佳网格运动策略,可以保持网格质量。由于衰减试验是FOWTs的基本模拟之一,因此可以在文献中找到附加的CFD试验。详细列表见表6。

5.1.2. 受迫振荡试验

如前所述,当对整个水动力频率范围感兴趣时,强制振荡试验用于补充衰减试验,以表征水动力系数。在CFD和实验中,该方法通常用于FOWTs的升沉板。因此,用升沉板进行的研究可以作为很好的例子,为本节提供有力的物质支持。

通过周期性受迫运动与受迫振荡试验产生的力的比较,得出了升沉板的相关水动力参数。状态通常基于3个无量纲量来描述:Keulegan-Carpenter数(KC数)、雷诺数和无量纲频率β。它们的定义为:

 

其中KC数测量的是与相关长度尺度相比的振荡幅度,即D是板直径,A为实体的偏移幅度。为方便起见,引入2π因子,因为流速振荡的振幅v= 2πAf,其中f为振荡的频率,ρ为流体的密度,μ为动态粘度。

Lopez-Pavon和Souto-Iglesias(2015)提出了实验结果,并将其与强迫振荡试验的数值结果进行了比较。利用CFD工具Ansys CFX和频域面板法(WADAM)对HiPRWind平台的升沉板进行建模。结果表明,在KC数较高时,增加的质量大于势流理论的预测。所选结果如图9所示,其中可以欣赏预测的公平匹配。通过与理论势流模型进行比较,获得了附加质量的无量纲表示,而阻尼则通过理论附加质量与角频率的乘积来实现无量纲化。

若干研究证实了CFD在强迫振动试验中的准确性。Zhang和Ishihara(2018)使用Ansys Fluent获得精确的附加质量和阻尼值。在这项工作中,使用了分层技术,由变形网格和重网格技术的组合组成。网格会变形到一定的高度或比例,然后进行相应的分裂或合并。湍流建模使用了Smagorinsky-Lilly子网格LES模型。Wang等(2020b)也使用Fluent研究了规则和分形升沉板的KC数与水动力系数的关系。通过谐波函数结合动态网格技术施加运动,并对湍流应用标准k-ε模型。Pinguet(2021)、Pinguet等人(2022)使用OpenFOAM精确地执行了OC5 Deep-CWind平台在低沉度(即接近自由表面)下的强迫起伏振荡,使用偏移技术处理身体运动和k-ε标准湍流模型的RANS方法。Garrido-Mendoza等人(2015)使用OpenFOAM研究了在海底附近振荡的升沉板的水动力特性,特别是其在振荡流中增加的质量和阻尼,以及靠近海床和振荡振幅如何影响这些特性。在这项工作中,假定流动表现为轴对称。由于观察到的垂直结构的大小与运动幅度一样大,因此不包括湍流建模。因此,已经报道了几种策略来进行强制振荡试验的CFD模拟,包括针对类似问题的各种运动技术和不同的湍流模型。

 

图9 CFD强迫振荡试验与实验对比。来源:重绘自Lopez-Pavon和Souto-Iglesias(2015)

 

 图10 数值CFD双色入射波和STAR-CCM+固定浮子的NWT域(Wang et al.,2020a)

5.2.数值波槽和波致运动

CFD技术允许对波槽进行建模,包括波的产生、传播和阻尼。这种计算概念通常被称为数值波槽(Numerical Wave Tank, NWT),由于它在估计与波引起的运动响应、衍射力和双色波下的二阶力有关的各种因素方面的有用性,已经引起了人们的关注。在Pinguet(2021)、Wang等(2020a)、Zeng等(2023)、Almeida Medina(2022)中可以找到一些应用实例。使用STAR-CCM+ (Wang等人,2020a)的示例如图10所示。

需要特定的边界条件来模拟波的产生和传播。例如,OpenFOAM通常由IHFoam (Higuera等人,2013),olaFlow (Higuera, 2017)和waves2Foam (Jacobsen等人,2012)等工具补充。Pinguet(2021)将waves2Foam与Open-FOAM中的overset方法进行了耦合,以模拟波浪与固定和浮动结构之间的相互作用。

在基于CFD的NWTs中,波浪产生主要采用五种方法:松弛区(Jasak等人,2015)、静态边界(Higuera等人,2013)、动态边界(Higuera等人,2013)、质量源(periki和Abdel-Maksoud, 2015)和脉冲源(Schmitt等人,2019)。对于波浪吸收,使用了六种公认的方法:松弛区,静态边界(Higuera等人,2013),动态边界(Higuera等人,2013),数值海滩(Chen等人,2014),几何斜坡海滩(López等人,2014)和细胞拉伸(Davidson等人,2015)。Windt et al.(2019,2018)对这些方法的优缺点进行了全面总结,并对其应用提出了建议。

波浪诱导运动的CFD模拟被广泛用于研究FOWTs的统计特性和极端载荷值,以及系泊绳的张力,以及分析其在包括规则波在内的各种波浪条件下的复杂响应(Zhang和Kim, 2018;Tran和Kim, 2018),聚焦波(Zeng等,2023;Zhou et al., 2021)和不规则波(Zhang et al., 2023c;Wang等,2022d) 配置文件。

与许多文章中的许多简化不同,包括用规则波近似波浪和过度简化平台几何形状,Zhang等人(2023c)的研究以其非常详细的建模和最近的时间框架被选为本节的说明性示例。利用STAR-CCM+软件中的刚体运动求解器解决了OC6半潜器与波浪和结构相互作用产生的6自由度运动的模拟问题,该软件具有偏移网格功能。实验、OpenFAST和CFD之间的全局响应的PSD(功率谱密度)比较如图11所示。对于低频浪涌和俯仰角响应,OpenFAST的模拟结果比实验低50%,而基于STAR-CCM+的耦合CFD模拟结果令人印象深刻。一些大的峰值也被很好地捕获,这与固有频率相对应。

另一点值得注意的是,在过去,准确模拟系泊系统和漂浮物组合的响应和作用一直是一个挑战。尽管有一些可用的外部库,但是将它们与CFD相结合一直存在问题。然而,在最近的一些研究中,学者们将MAP++ (Masciola et al.,2013)、MoorDyn (Hall and Goupee, 2015)和Moody (Palm et al.,2017)与OpenFOAM进行了耦合,并对系泊圆柱体系统进行了波浪诱导试验(chen和Hall, 2022;陈 Et al.,2024)。结果表明,后一种库对于模拟单个系泊浮体,甚至多个共享系泊的浮体都非常有效。

 

图11 OC6平台表面高程实验、OpenFAST和CFD的功率谱比较(Zhang等,2023c)

5.3.衍射波载荷

对于海上结构,当考虑与入射波相互作用的静止物体时,物体的存在会引起流动,从而产生称为衍射波的波。这种流动反过来又会在物体上产生称为衍射载荷的水动力载荷(Faltinsen,1993)。

衍射载荷的分析对于预测FOWTs在波浪和风合力作用下的动力响应起着至关重要的作用。这反过来又有助于优化涡轮机设计,以减轻与振动和疲劳损伤相关的风险。这种检查也有助于评估在不同海洋环境条件下的性能。该评估有助于确定FOWTs的最佳位置和操作策略,最终最大限度地提高能量捕获效率。此外,衍射研究有助于优化FOWTs的布局和排列。这种优化减少了不同涡轮机之间的干扰,提高了风能场的整体性能和有效性。

Li和Bachynski(2021)进行了一项研究,利用OpenFOAM研究了固定和刚性OC6半潜式平台在规则和不规则波浪条件下的非线性衍射波载荷。该研究包括与势理论(SIMA)和实验数据的比较。本研究考虑了风力机运行时平均俯俯角对非线性绕射波载荷的影响,并分析了波载荷在各柱上的分布。研究发现,CFD模型能够较好地预测一阶、二阶和三阶衍射波载荷,而势理论工具在高阶衍射波载荷中存在明显的相位偏差,并且低估了低频波载荷的大小。文章还揭示,平均俯仰角会导致横向力和俯仰力矩的增加,但垂直力会减少。柱间的相互作用也导致不同柱上的衍射波载荷存在差异。最近的其他例子可以在Zhu et al.(2022)、Zhou et al.(2021)中找到。

5.4.二阶流体力学

目前,已经进行了大量的研究,主要集中在分析一阶波引起的运动和响应。尽管如此,海上油气行业已经强调了二阶流体动力载荷对特定浮式平台的重要意义。这些二阶波载荷主要包括平均漂移力,以及和频和差频波载荷。后者,即和频和差频载荷,有可能激发FOWTs的固有频率,导致大量振荡,可能导致大的系泊载荷和电力电缆问题。事实上,即使结构固有频率被设计为避免一阶波谱(通常为5~25 s (Collu和Borg, 2016),而FOWTs的典型自然周期如表5所示),它们仍然容易受到二阶载荷激励。因此,尽管二阶流体动力载荷通常较小,但共振效应可能仍然显著(Zhang等人,2020)。

二阶流体力学通常使用势流方法处理(Lopez-Pavon和Souto-Iglesias, 2015;Simos et al., 2018)然而,与任何其他情况一样,激增和波动粘性阻尼需要CFD建模来正确估计二阶运动。

 

表5 不同浮动平台的典型自然周期(单位:s)(Subbulakshmietal.,2022)

Wang等人(2020a)对作用于OC5 DeepCwind平台的波浪诱导载荷进行了研究。他们的研究特别集中在非线性、低频、差频波激励的分析上,这在以前一直被CAE工具低估。他们调查使用的CFD软件是STAR-CCM+。他们提出了与二阶势流理论的初步比较,揭示了显著的差异,特别是在激波力的情况下。他们的研究结果表明,二阶波的CFD结果被认为是优越的,可以作为CAE模拟的有价值的输入数据。其他一些例子可以在最近的论文中找到(Wang等人,2022a;Li and bachynski - poliki, 2021c,a)。

5.5.大陡度和高阶波引起的非线性

在某些情况下,波高依赖性(因此,当周期保持不变时,陡度)可以表现出非线性行为。假设波陡度为线性的势流代码无法捕获这些类型的非线性。

Rivera-Arreba等人(2018)进行了一项比较研究,通过将CFD模拟与潜在流求解器获得的结果进行比较,分析了波陡度对OC5 DeepCWind平台的影响。该研究包括对平台运动和水动力载荷的检查,特别关注共振条件下的升沉响应。主要发现是CFD结果可以有效地预测局部非线性效应,并可作为校准潜在流动求解器的有价值的工具。

Li和bachynski-poliki (2021b)在OC5-DeepCWind平台上进行了一项专门的研究,重点研究了非线性波引起的载荷。CFD工具采用OpenFOAM, CAE平台采用基于势理论和morrison方程的SIMA。该研究的关键发现突出了CFD在准确估计高阶波浪载荷响应方面的优势,这要归功于它包含了粘性效应和湍流建模。

表6包含了精选出版物的汇编,重点关注FOWTs流体力学中的CFD应用。这些论文都是近五年内发表的,均来自高影响因子期刊或高被引会议论文,证明了它们在该领域的重要参考价值。表6的目的是让读者清楚地了解最近的高级研究工作,以及CFD工具、相关模拟和热门原型的一些关键基本细节。读者如果想了解有关特定CFD或耦合工具和相关模拟的使用信息,可以利用此表作为功能参考,类似于字典。它允许在FOWTs流体力学领域内进行有效的探索和信息检索。

表6根据基本CFD工具、发表年份、耦合工具、平台、数值模型尺度和CFD相关流体动力学模拟对文献进行了分类。在第一栏中,介绍了基本的CFD工具,特别是OpenFOAM、STAR-CCM+、ReFRESCO和Ansys Fluent,如前面第4节所讨论的。在这里,术语“CFD工具”是指用于模拟的基础软件,包括主要的和原始的核心代码,而不是那些基于其他代码开发的所谓内部求解器。第四栏详细介绍了每篇论文中使用的特定耦合工具,例如用于波浪生成的waves2Foam和用于建模系泊线的MoorDyn。此外,在表中首次出现的相应链接或参考文献也附有相应的链接或参考文献。本专栏专门列出了直接集成到CFD流体动力学模拟中的外部工具或代码,不包括各种常用方法选择,如自由表面捕获模型或湍流模型。5/6/7列的组合描述了所选研究中使用的平台,这表明DeepCwind半潜式平台作为目前的主流选择占据主导地位。数值尺度主要坚持两种类型:1:1和1:50,这在很大程度上是由于第3.2节强调的著名的OCC缩放实验。模型比例尺和全比例尺的区别在第3.6节中声明。在最后一篇专栏文章中,将根据第5节中提供的前一种上下文,按字母顺序对CFD相关模拟的类型进行分类。值得注意的是,虽然当前表格提供了与CFD相关的模拟,但列出的研究并不仅仅关注这些模拟。其中一些还包括对FOWTs的其他相关方面的重要调查。例如,Wang等人(2021a)对俯距运动的影响参数进行了详细的分析研究。而Xue等人(2022)则探索了各种调谐液体多柱阻尼器(tlmd)的功效。

6、CFD应用:空气动力学

FOWTs气动数值模拟主要采用四种方法:叶片元动量(BEM)理论、边界元(BE)方法、自由涡尾(FVW)方法和CFD方法。Wang等人(2023)很好地总结了基于这些不同方法的工具。在这些方法中,BEM有一个主要的限制,即不允许在各种转子径向元件之间进行三维流动,不模拟尾迹的流动物理(Micallef和Rezaeiha, 2021);BE法基于势理论,适用于求解定常、无粘、无旋转不可压缩流动(Ezquerro et al., 2014);FVW也是基于势能理论,在很大程度上依赖于翼型数据,这在解决复杂几何形状方面提出了挑战(Micallef和Rezaeiha, 2021)。因此,尽管时间和计算资源成本高昂,但通常采用CFD方法来获得尾流特性和复杂入流条件等复杂的气动结果。本节旨在全面分析CFD在复杂气动相互作用中的应用及其对FOWTs发电效率和有效性的重大影响。由于其密切的相互关系,将FOWT空气动力学研究划分为完全不同的主题可能具有挑战性。尽管如此,我们将尝试探索以下各个关键方面。

 

表6 CFD在FOWTs流体动力学研究中的最新进展(DC: DeepCWind, HOS:高阶谱,NWT:数值波槽,N/A: Not available, SS:半潜式,TGL:三峡领先,TRIHF: TRIgon混合浮子)

6.1.平台运动的影响

浮动式风力涡轮机的空气动力学特性显著地决定了发电质量,与固定式风力涡轮机有很大的不同,特别是在复杂海洋环境的挑战性背景下。最显著的区别是平台运动引起的动力性能的振幅大,频率低(Wang等,2023),这是FOWTs中固有的流体动力学的一部分。虽然一些研究深入到耦合空气-流体动力学CFD模拟(将在下一节讨论),但为了降低计算成本,在使用CFD技术研究FOWTs的空气动力学特性时,平台运动通常是外部强加的。在浮式风力机的气动性能分析中,通常将平台运动设定为规定的外部负载。与孤立的试验不同,研究平台运动影响的重点在于研究其对涡轮各种气动特性的影响。

正如稍后将讨论的部分,多项研究探讨了平台运动对尾流特性的影响(Rezaeiha和Micallef, 2021;arabgolarchh等人,2022;Fu等人,2023;Fang et al., 2021),叶片-塔相互作用(Hu et al., 2021;Sun et al., 2023),功率性能(Sun et al., 2023;Feng等人,2021),偶尔对运动引起的特定运行条件(螺旋桨或涡环状态)(Kyle等人,2020;Dong et al., 2022)。在FOWTs平台运动相对气动研究中,surge (Rezaeiha and Micallef, 2021;arabgolarchh等人,2022;Fang等人,2021;Hu等,2021;Sun等人,2023),pitch (arabgolarchh等人,2022;Fu等人,2023;Hu等,2021;Chen等人,2021b)和偏航(Hu等人,2021;Chen等,2021b;Wen等人,2019;Johlas et al., 2020)运动是获得大量研究关注的主要运动。此外,一些研究超出了对单个平台运动的模拟,通常将两个或多个运动整合在一起,以探索它们对FOWTs气动性能的综合影响,例如俯仰角波动运动(Feng等人,2021;Chen等人,2021a)和俯仰偏航运动(Chen等人,2021b)。

6.2. 尾流

如图12所示,风力涡轮机叶片的旋转运动引起了以时间和空间波动为特征的下游风速赤字,这种现象被称为尾流(内田,2020)。这种尾流,即每个涡轮机后面的尾随区,导致下游风速降低。关键方面包括尾流相互作用、尾流膨胀和尾流湍流。除了周围地形产生的湍流外,这些现象还会引入额外的湍流,从而影响附近的风力涡轮机。这是过程中必须仔细考虑的一个关键因素在风电场的设计和施工阶段,以防止潜在的生产差异,无论是在单个涡轮机水平还是整个风电场。

Rezaeiha和Micallef(2021)结合CFD和执行器盘模型(CFD-ADM),利用Ansys Fluent研究了两个串联FOWTs的尾流相互作用。在前转子上施加规定的喘振运动,后转子保持固定。结果表明,上游转子的喘振运动增强了尾迹中的流动混合,加速了下游转子的尾迹恢复。这些发现为进一步研究优化FOWTs的风电场布局提供了有希望的途径,以实现更紧凑的布局。

Arabgolarcheh等人(2022)通过使用OpenFOAM实现c++库开发了一种新的致动器线模型(ALM),用于探索FOWTs的近尾迹特性。他们发现两个连续涡环之间的距离及其强度经历周期性变化。这些变化使得中间尾流不稳定,这是由于相邻的不同强度的涡流之间的相互作用。这种现象在风电场中至关重要,因为下游风力涡轮机可能会经历高度不稳定的风况,这取决于上游涡轮机的运动,如图13所示。类似的基于CFD的尾流模拟可以在其他高级论文中找到(Fu et al.,2023;Fang et al., 2021;Cai等人,2023b)。

 

图12 FOWTs背后的尾流结构示意图(Uchida,2020)

6.3.复杂流入

在现实环境中,FOWTs会遇到复杂的风流条件,这些条件偏离了理论模型中通常假设的理想均匀和垂直风型。这些不同的流动条件极大地改变了FOWTs的空气动力学行为,包括几种不同的类型:倾斜流入(Cai等人,2023b)、剪切流动(Chanprasert等人,2022)、尾流流入(Rezaeiha和Micallef, 2021)和湍流流入(Zhou等人,2022)。偏航流入是一种经常遇到的流入,是指以一定角度而不是正面撞击风力涡轮机的风流,如图14(a)所示。这种流入可能是由于系泊配置导致的浮子位置不同,也可能是由于风、流、波的不对中造成的。目前,在陆上风力发电场内,大量的努力都是针对调整上游风力涡轮机的偏航角,故意重定向尾流,从而提高下游风力涡轮机的功率输出,最终促成了功率输出的整体增加。剪切流入是指具有垂直风速梯度的风流入,导致风速随高度变化。这种类型的风流会影响风力涡轮机的动力性能和安全性,因为叶片在不同高度受到不同的风速(见图14(b))。尾流流入是指来自同一风电场内其他风力涡轮机的尾流。尾流流入通常具有较低的风速和较高的湍流水平,见图12。湍流入流是FOWTs最现实但又最复杂的入流条件,在CFD模拟中往往对湍流入流进行简化。它的频谱包括各种各样的湍流分量,每个分量都有不同的波数和频率(图14(b)给出了示意图)。每种流入类型都会对FOWTs的性能和运行动力学产生重大影响,因此在设计和仿真中都需要进行详细的研究和考虑。

Cai等人(2023b)使用OpenFOAM开发了详细的全尺寸NREL 5MW CFD模型,并研究了各种偏航角(0◦,15◦,30◦,45◦)和风速的影响。他们发现,偏航入流增加了AOA(攻角)的波动幅度和诱导因子,最终导致总气动载荷的不稳定性上升。此外,随着偏航角从0◦增加到45◦,尾迹的偏转角也会上升到6◦。同时,尾迹的速度亏缺减小,尾迹宽度逐渐减小,在一个0◦偏航角下,尾迹宽度减小到仅为其宽度的2/3。

Zhou等(2022)利用OpenFOAM研究了剪切和湍流流入的影响。这类复杂的流入会引起空气动力学和功率输出的波动,特别是当叶片经过塔影区域时,会出现局部最小推力和功率。对比还表明,湍流流入可以加速尾迹扩散,而剪切流入可以增加FOWT系统的俯仰力矩,这可能会影响性能和寿命。

6.4.叶片-塔相互作用(BTI)

叶片-塔相互作用(BTI)不仅包括塔对叶片的影响,通常被称为塔影效应(如图12所示),以及叶片旋转对塔动力行为的影响。后者会在特定的流入条件下产生负压效应和潜在的叶塔碰撞等不利影响(Cai等,2023b)。

Hu等(2021)利用Ansys Fluent研究了考虑塔影效应的NERL 5MW FOWT在不同运动(喘振、俯仰和偏航)下的气动性能。提供了有和没有塔的流线和压力轮廓的比较。俯仰运动下的一个实例如图15所示。可以看出,塔影效应压缩了叶片根部和中部的负压场范围,平均最大负压降低了8.35%,这对FOWTs的整体输出功率是不利的。Cai等人(2023b)有一个值得注意的发现,BTI对塔的气动载荷也有深远的影响。具体来说,当叶片从塔前经过时,塔的阻力显著降低了200%,同时塔的升力沿Y轴的正负方向发生了很大变化。

 

图13 不同位置振幅为8◦的俯仰运动涡轮尾流(arabgolarchh et al.,2022)。

 

图14 FOWTs不同复杂流入的示意图

6.5.扭矩、推力、动力性能

FOWTs的功率性能是直接影响机组发电效率、可持续性和运行功率输出的最关键因素。该性能与推力和扭矩直接相关,但受到各种影响因素的影响,包括风速、风场特性、叶片设计、控制系统和平台运动。扭矩是对涡轮机转子和叶片上的转动力矩的度量,是功率和涡轮机转速之间的比较,而推力是风对风力涡轮机转子和叶片施加的轴向力。扭矩和推力示意图如图16(A)所示,发电过程如图16(b)所示。考虑到它们之间的密切关系,这些参数通常被放在一起讨论,因此在这里的同一小节中对它们进行了总结。

Sun et al.(2023)进行了全面的研究,细致地比较了逆风和下风FOWTs的扭矩和推力特性。STAR-CCM+软件采用了非定常、不可压缩的reynolds-average Navier-Stokes (URANS)方法,并将它们的比较考虑到塔影效应和喘振平台运动的影响。研究结果表明,喘振平台运动显著影响转子推力和转矩的波动周期和幅值。同时,塔影效应导致突然下降,如图17所示,在选定的实例中详细描述了这一点。此外,浪涌运动和塔影效应之间的联合相互作用放大了扭矩和推力特性的可变性和不确定性,最终降低了总功率输出。总之,本研究证明了CFD在详细建模和所涉及的各种现象之间的相互作用效应方面的附加能力。

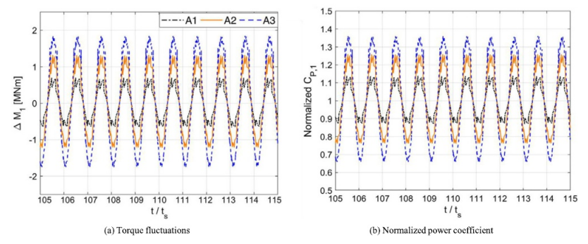
为了更好地理解动力性能与扭矩和推力之间的关系,Rezaeiha和Micallef(2021)提供了一个很好的蓝图。在上述研究中,选择Ansys Fluent作为CFD求解器,结合URANS方法和ADM,研究了两个串联FOWTs的时间平均功率值、瞬态功率数据及其与扭矩和推力系数的关系。他们发现,上游喘振转子和下游喘振转子的平均功率和推力系数(CT)与固定转子的情况非常相似,并且受转子喘振运动的影响最小。这意味着,在强调平均值的研究中,例如在估计年发电量(AEP)时,使用固定的转子系数可能是一种具有代表性且合适的方法。然而,如图18所示,归一化功率系数(σCp:将功率系数除以平均功率系数值)波动与浪涌运动下的扭矩波动保持同步,σCF 根据浪涌幅度的范围从8.4%上升到24.1%。此外,Carreno Ruiz等人(2022年)对 BEM、CFD、NLIT-FVW(非线性升力线理论方法结合自由涡流尾迹)和双叶片风力涡轮机的实验结果进行了比较。他们的发现强调了CFD 在局部推力分布方面的准确性。

 

图15 桨距运动下不同叶片截面的流线和压力轮廓(Hu等,2021)

 

图16 扭矩、推力和发电过程的示意图。

 

图17 考虑塔影效应的喘振运动(振幅=2.560 m)下的扭矩和推力(Sun et al.,2023)

6.6.FOWTs空气动力学的最新研究摘要

参考表7的表格包含了精选出版物的汇编,重点关注FOWTs空气动力学中的CFD应用。这些论文大多发表于近五年内,来自高IF期刊、高被引会议论文和少数经典文章。与表6类似,表7旨在为读者提供最新先进研究成果的清晰概述,以及CFD工具,相关模拟和热风力涡轮机原型的一些关键基本细节。它允许在FOWTs空气动力学领域内进行有效的探索和信息检索。

表7的设计理念与表6大致相同,但平台信息已被风力涡轮机信息所取代。另外,最后一列中只列出了与CFD相关的模拟。

7、CFD应用:耦合气动-流体力学

随着对FOWTs的研究随着先进工具的发展而进步,研究人员正在超越仅仅是不耦合或部分耦合的分析。部分耦合分析涉及考虑空气动力学和流体动力学现象,其中一种现象被简化以强调另一种现象(Subbulakshmi et al.,2022),例如增加一些规定的平台运动来研究对空气动力学的影响。非耦合和部分耦合的分析不足以研究风力涡轮机与浮动平台之间的真实相互作用。越来越多的关注和努力已经投入到完全耦合的空气-流体动力学分析中,以了解FOWTs在波浪、水流和风的实际联合作用下的准确行为。针对本课题开发了一些专门的代码,如NREL基于BEM(叶片元动量)和势流理论开发的OpenFAST,以及基于BEM的Bladed、HAWC2、3Dfloat等新型工具。然而,由于BEM和势流理论采用了简化和经验校正(Sebastian and Lackner, 2013),以及对数据输入的依赖,完全耦合分析的准确性受到忽略粘性效应的限制(Cheng et al., 2019)。因此,得益于快速发展的计算机技术和高保真度的CFD工具,CFD技术在FOWT全耦合分析中显示出良好的潜力和准确性。例如,FOWT的全耦合气动-水动力CFD模型如图19所示。在最近的高级论文中可以找到如下几个有说服力的例子。

Alkhabbaz等人(2024)对NREL 5-MW浮式风力机经历浪涌运动时的气动水动力干扰影响进行了全面研究,重点研究了半潜式平台在完全耦合风浪载荷条件下的气动性能和尾流特性。以及与FAST和OrcaFlex的比较。STAR-CCM+中的偏移网格技术用于准确捕获浪涌响应效应。动态流体体相互作用(DFBI)和VOF方法相结合,模拟了水-空气界面,精确地理解了空气-水动力相互作用。平台浪涌响应显著影响垂直于旋翼平面的视风速,这是由入射风速和浪涌诱导速度共同作用产生的。与固定式风力发电机相比,在浪涌运动期间,转子下游的尾流中速度恢复更快,这意味着风电场中相邻涡轮机之间的气动干扰减少。CFD结果强调了尾流中的脱落涡、塔尖干扰和系泊线张力等复杂性,而FAST和OrcaFlex等潜在代码无法充分捕捉这些复杂性。

Huang等人(2023a)受Victoria Amazonica(一种具有随机分形结构的大荷叶)的启发,设计了一种新颖的FOWTs仿生平台,并进行了一系列令人印象深刻的全耦合模拟来研究其性能。STAR-CCM+是本研究的基础CFD工具,采用先进的动态流-体相互作用法(DFBI)计算平台运动,利用流体体积法(VOF)捕获气动-水力自由表面。它们完全耦合的FOWT的漂亮示意图如图20所示。通过功率测试、自由衰减测试以及与参考文献的比较,对全耦合模型进行了验证。对NREL 5MW风力发电机的仿生平台的研究表明,与原始设计相比,稳定性得到了增强。仿生设计使平均气动推力和功率略有提高,最高可达0.02%,同时减小了波动:推力幅值降低了10.36%,功率幅值降低了2.92%。总扭矩结果显示,响应幅值显著降低48.16%。此外,仿生结构产生更多的涡流,从而改善了与壁面的接触,增加了接触面积。可视化显示,轻质仿生结构在稳定性和能量吸收方面有了实质性的改善。

表8收录了近五年来发表的主要集中于FOWTs耦合气动-流体动力学中的CFD应用的出版物。

表8中概述的设计概念与表6和表7中提出的设计概念密切一致。该表包括平台和风力涡轮机的全面细节。但是,它省略了平台类型,因为这些已经在表6中说明了。表8超越了仅仅模拟空气流体动力学;它还用于验证这些耦合模型的准确性。因此,其中引用的文章提供了对非耦合流体动力学和空气动力学的见解。

 

图18 不同浪涌幅值(A1, A2, A3)下的转矩波动和归一化功率系数(Rezaeiha and Micallef, 2021)

 

图19 全耦合FOWT CFD模型(Huang等,2023a)

 

图20 全耦合气动-水动力仿真图(Huang等,2023a)

 

表7 CFD在FOWTs空气动力学中的最新应用(ABL:大气边界层,ANN:人工神经网络,BTI:秃塔相互作用,HMB:直升机多块代码,IDDES:改进延迟分离涡模拟,N/A:不可用,SIMPLE:半隐式算法,VRS:涡环状态)

8、结论与挑战

8.1.结论

本文对CFD在FOWTs流体动力学、空气动力学和耦合空气流体动力学中的应用进行了全面分析。它首先概述了各种FOWTs的快速发展和广泛使用的数值工具。接下来讨论了所有四种平台和风力涡轮机的代表性原型,特别是当前为、15MW+和20MW+工程设计的最新示例。随后,对CFD 软件的特性进行了研究,并对几个特定的软件包进行了分类。然后,综述深入探讨了CFD在六个重要的流体动力学研究主题、五个空气动力学主题中的应用,以及它们在空气流体动力学中的整合。

本文全面回顾和分析强调了CFD在不断推进FOWTs领域的关键作用。CFD模拟复杂空气动力学和流体动力学相互作用的能力对于优化设计和分析FOWTs的性能至关重要。高保真CFD工具的集成使涡轮在各种海洋条件下的性能预测更加准确,从而有助于更稳健和高效的设计。

8.2.未来趋势与挑战

随着FOWTs领域的不断发展,该领域的CFD应用面临着不断升级的挑战和新兴的机遇。主要发展包括:(a)容量超过20MW的风力涡轮机的出现(de Souza和bachynski-poliki,2022;Qin et al.,2020),(b)多涡轮的创新浮动平台(Liang和Liu,2023;Bashetty和Ozcelik, 2020),(c)共享系泊系统的进展(Lozon和Hall, 2023;Lopez-Olocco et al.,2023),(d)混合风浪海上可再生能源平台的探索(Zhang et al.,2022;Zhou et al.,2023),(e)更大风电场布局的设计(Froese et al.,2022;Cao et al.,2022)等。这些趋势引入了更复杂的流动相互作用,需要在水弹性、气动弹性力学和结构动力学方面采用综合方法。因此,对更高效、更精确的CFD技术的需求不断上升。

  • 降低CFD计算成本

考虑到FOWTs的发展需要更高的精度和现有CFD技术所需要的巨大计算资源之间的矛盾,人们开发了一些创新的方法来减少计算需求,例如(a)多保真度建模:结合高保真模型和低保真模型,实现精度和计算速度之间的平衡(Kou和Zhang, 2019),(b)并行计算和GPU加速:使用并行计算技术和利用GPU的能力来减少CFD的计算时间(Liu等人,2016),(c)降阶建模(ROM):ROM技术创建了计算模型的简化版本,需要更少的计算成本,同时仍然保持高水平的精度(Zhong等人,2020),(d)自适应网格细化(AMR):AMR在模拟过程中动态调整计算网格,将资源集中在最需要的地方(can et al., 2022),以及(e) Lattice-Boltzmann方法(LBM):以其简单性和并行性而闻名适用于各种复杂的流动,在某些应用中被视为传统CFD方法的更快替代方案。Asmuth et al.(2020)等。这些方法在FOWTs的CFD研究中尚未得到广泛应用,在这方面的进一步探索有待加强。

  • 结合CFD和AI(人工智能)技术

如果说FOWTs是当今可再生能源领域最热门的话题,那么AI无疑是全球最热门的话题。此外,由于AI的多功能性,这两者可以结合发展。鉴于当前AI技术的进步,特别是DL(深度学习)/ ML(机器学习)在处理大数据方面的出色能力,AI技术可以从给定的CFD模拟数据中学习,并为FOWTs的其他运行条件提供预测动态响应和多阶段优化。Yang等人(2023a)举了一个这种组合的有力例子,他们基于CFD数据训练的ML尾流模型创建了一个数据驱动的风电场布局优化框架。

  • CFD和FEM的结合

如前所述,随着FOWTs尺寸的不断增大,特别是涡轮翼型和相应的浮式平台的不断扩大,弹性的影响不容忽视。然而,目前大多数数值FOWT模型仍然是基于刚体假设或考虑弹性的简单求解方法。CFD和FEM都属于高保真软件。事实上,CFD擅长解决空气动力和流体动力方面的挑战,而FEM擅长解决弹性问题。因此,对FOWTs进行真正的全耦合气动-水-弹性模拟,进行CFD与FEM协同结合的关键尝试势在必行。Huang和Chen(2020)进行了一个开创性的实例,使用耦合CFD-FEM研究了系泊阻尼对涡激运动的影响。

总之,虽然CFD已经为FOWT领域做出了重大贡献,但其全部潜力尚未实现。克服当前的限制并探索新的领域,如机器学习集成和环境影响建模,将是FOWTs未来发展的关键。随着可再生能源需求的增长,CFD在优化和实现FOWTs的可持续扩展方面的作用将变得越来越重要。

 

表8 CFD在FOWTs气动流体动力学中的最新应用(AMI:任意网格界面,BTI: 秃塔相互作用,DC: DeepCwind, HMB:直升机多块代码,MBDM:多体模型,NWT:数值波槽,N/A:不可用,PIMPLE: PISO:压力隐式分割和SIMPLE的组合):压力链接方程的半隐式方法,SPH:光滑粒子流体力学)

本文翻译自《Applied Ocean Research》“Computational Fluid Dynamics (CFD) applications in Floating Offshore Wind Turbine (FOWT) dynamics: A review  

来源:多相流在线
ACTFluentCFXStar-CCM+OpenFOAM振动疲劳碰撞非线性多相流通用航空航天船舶汽车理论电机人工智能
著作权归作者所有,欢迎分享,未经许可,不得转载
首次发布时间:2025-07-22
最近编辑:4月前
积鼎CFD流体仿真模拟
联系我们13162025768
获赞 211粉丝 159文章 423课程 2
点赞
收藏
作者推荐

免费 5.0
未登录
还没有评论
课程
培训
服务
行家
VIP会员 学习计划 福利任务
下载APP
联系我们
帮助与反馈