本文读者将会学到有限差分法详细思路和步骤、Matlab高效编程技巧、动态可视化图的生成技巧。
有限差分法在(偏)微分方程数值解方面可谓是举足轻重。我们在学习导数的概念时知道,连续函数的导数其实是通过相邻离散点作差分然后取极限得到的,即:
解微分方程时,将所有的导数项用离散点处的差分来近似,这就是有限差分法的主要思想。选择不同的离散点来将 处的导数 作近似,就会得到不同的有限差分格式。比如,上面的式子我们是用 点与 点做差分,这种叫前向差分(forward difference);你也可以用 点与 点做差来近似 :
这叫后向差分(backward difference);还有许多其他的格式,不同的格式都是在追求同一个目标:精度更好求解更稳定,也就是相同离散点的情况下能更准确地对导数进行近似。
一阶导数简单,那二阶导数甚至高阶导数呢?其实也很简单,因为,根据定义,你一定知道二阶导数是导数的导数:
(如果 那就是等号)
紧接着我们将分子中的一阶导数再用一次前向有限差分:
因此立刻可以写出二阶导数差分公式:
也就是说,二阶导数可由 点及其左右相邻点一共3个离散点处的函数值来近似(你用泰勒公式展开,将步长h看作小量,肯定能得到 ,不信试试哈)
同样地,不同的近似算法对应不同的差分格式,上述对应最常用的中心差分格式,还有精度更高的五点差分格式等,在此不表。怎样的差分格式不重要,重要的是你要能弄明白到底用到哪些离散点来计算高阶导数,这样方便你在编程中体现。
下面我们用一个简单的波动方程来手把手教会读者:
依然用PINN神经网络求解PDE一文中的方程:
边界条件
初始条件
这是一个具有明确物理意义的问题:一条琴弦,两端固定在0和1的位置,拉动琴弦使得它初始具有构型 :
那么接下来琴弦肯定要振动对吧,那它将如何振动呢?这就是上面的方程干的事。
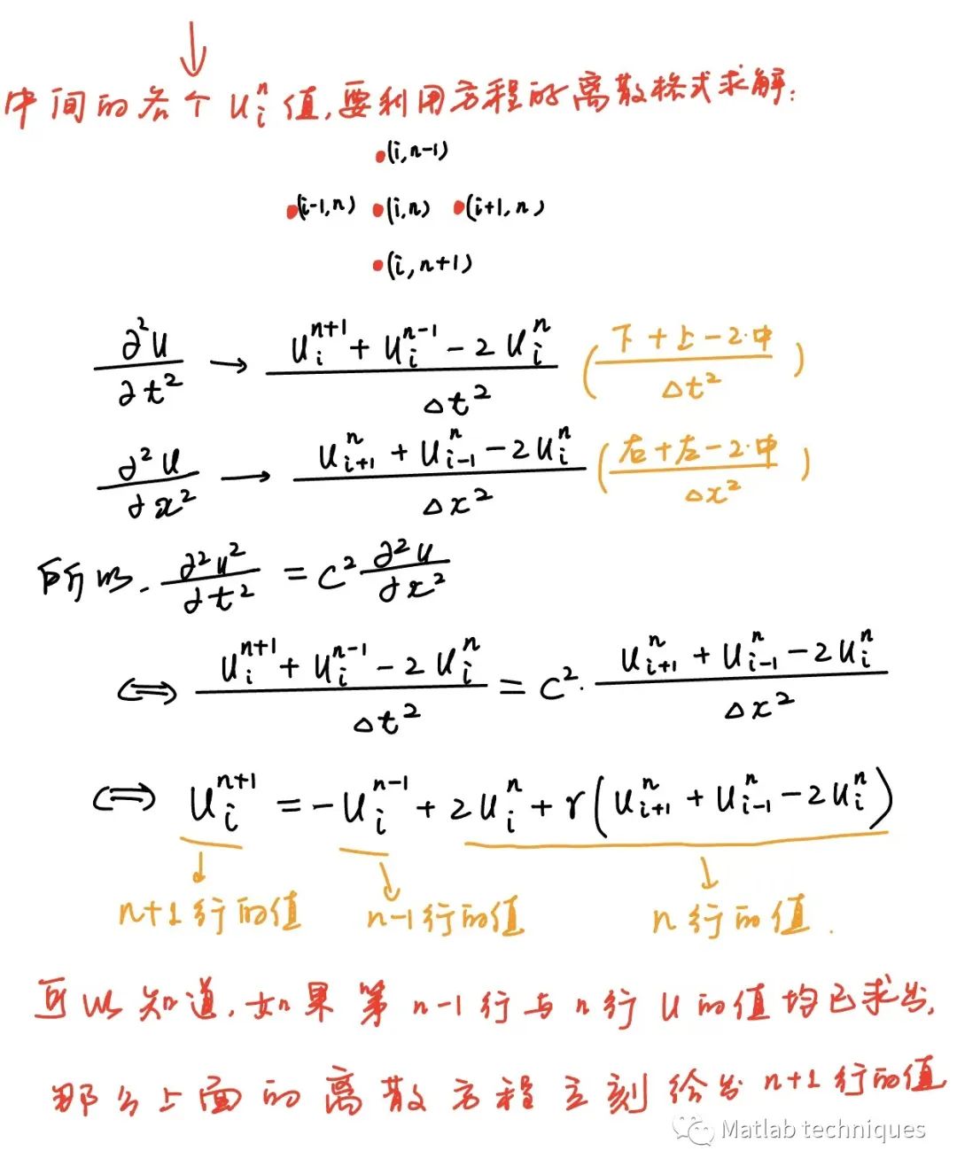
时间、空间离散化,初始边界条件如何处理、方程的离散格式如何给出内部未知场函数,详细可见👇


基于上面的离散求解方法,我们得到琴弦振动动态图:
动图的生成,只要利用一个for循环,搭配上drawnow指令即可实现,推荐读者查看往期推文如何在matlab中生成动图视频
下面给出完整求解代码:
c=2;
deltax=0.01;
deltat=deltax/5;
Nx=1/deltax+1; % total points along x
x=0:deltax:1;
T=1.5; % total time
Nt=round(T/deltat+1); % total points along t
U=zeros(Nt,Nx);
U(1,:)=3*x.*(x<=1/3)+3/2*(1-x).*(x>=1/3); % the first IC
U(2,:)=U(1,:); % the second IC
U(:,1)=0;
U(:,end)=0; % BCs
r=c^2*(deltat/deltax)^2;
for n=2:Nt
U(n+1,2:end-1)=-U(n-1,2:end-1)+r*U(n,1:end-2)+(2-2*r)*U(n,2:end-1)+r*U(n,3:end); % 离散格式
end
读者需要注意或者学习的是最后for循环里面的一句长指令,这句指令将看似比较麻烦的离散方程
高效地用代码表述,相信我,这是非常有用的Matlab高效编程技巧!
这是生成动图的代码:
figure
for i=1:Nt
plot(x,U(i,:),'LineWidth',1.4)
xlabel('x')
ylabel('u')
ylim([-1.5,1.5])
set(gca,'PlotBoxAspectRatio',[1 0.4 1],'FontSize',15)
title(['t=',num2str((i-1)*deltat)])
drawnow
end
以后你遇到要生成可视化动图的问题,都可以借鉴这段代码。