
BUCK电路简易模型由NMOS管Q,续流二极管D,以及在输出端起储能作用的电感L,起滤波作用的电容C组成。当Q导通时,电源经开关管Q、储能滤波器件L、C为负载供电,同时为C充电,电流流经路径如上图蓝色所示;当Q管关断时,UD的电压为0,由于L的自感效应,电流路径如上图红色所示,续流二极管正向导通。

DC/DC电源芯片输出PWM调制波形,控制开关管Q的通断,在一个开关周期T内,Q的导通和关断的时间分别定义为Ton和Toff。
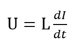
Q导通时,电感处于充电过程,电感左边电压为VIN(忽略了MOS管的压降),电感右边电压为VOUT,因此电感两端的电压为VIN-VOUT,根据电感的公式

可以得出导通时电感电流变化率

L不变,因此电流变化率与电压成正比。Q关断时,电感处于放电过程,电感左边电压为-UD,电感右边电压为VOUT,因此电感两端的电压为VOUT+UD。同理可以得出电感关断时,电流变化率与电压成正比。