首页/文章/ 详情

近场散射现象

2月前浏览50


雷达技术是一种成熟的技术,用于远程检测和传感物体的速度以及绝对和相对距离。其基本原理依赖于发射信号和接收信号的比较。然而,在远场假设不成立时,例如用于汽车、军事、成像、高精度距离测量以及生命体征和心音传感的多反射器天线系统或毫米波雷达系统,经典远场依赖性的前提条件就不再适用,任何关于系统行为的相关预测都可能不可靠。基于此问题,近场散射现象的研究就尤为重要。

目录



   
  • 传递函数的推导    
  • 近场现象分析    
  • 参考资料    


RCS

As shown below👇

传递函数的推导

如下图描述的雷达通用场景。天线由输入功率为a的波,根据天线辐射特性照射目标。

 


目标散射入射波,最终在天线终端中产生接收到的功率为b的波。

比率R=b/a表征雷达信道,从中可以推断出有关目标的信息。

考虑球面波传播、目标的物理范围、天线辐射特性和单站配置的情况下推导R。

在不满足目标远场条件的应用场景中,目标被认为明显大于波长,这使得物理光学概念非常适用于推导散射效应。

有如下前提假设:

目标不包含凹进特征,如二面体或开放腔。

推导忽略边缘的衍射。

靶由PEC制成,

假设时间谐波场具有隐式exp(jωt)时间依赖性。

给定目标表面S处的总磁场Ht,在位置r处评估的散射场HS由Stratton-Chu积分得出

 
 

φ为格林函数,其相对于预处理坐标的梯度计算为

 

由于散射体表面上每个点的曲率半径远大于波长,因此局部表面dS被认为根据切平面无限延伸(切平面近似)。dS处的总磁场和入射场之间的关系如下

 

与考虑入射到目标上的平面波的经典物理光学方法不同,考虑了由于辐射源和散射体之间的有限距离而具有不同传播方向的局部平面波。它们的幅度和相位与天线的远场辐射特性有关,假设天线可以很好地估计目标位置的入射场。因此,入射磁场近似为

 

在雷达应用的背景下,最终感兴趣的是天线终端中激发的功率波b,而不是散射场。将上式结合,得出天线端子处的输出和输入功率波的比率为

 





近场现象分析

传递函数R取决于被积函数在目标表面上的幅度和相位分布。由于被积函数取决于多个参数,即频率、天线辐射方向图、目标形状及其相对于天线的相对方向和距离,因此定义一种特定的配置来分析由于散射体的扩展性质而产生的现象是有益的。

如下图所示,直径为2R的PEC圆盘作为代表性目标,通用天线位于距离z0处。它的主瓣与圆盘的旋转轴对齐。在这种配置中,磁盘边缘衍射的贡献可以忽略不计。

 

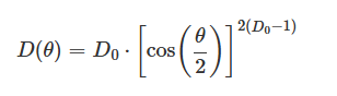
代替特定天线的方向图,采用了一种通用的方向图。这种方向图在数学上更容易处理,但仍然符合决定性立体角内的物理辐射行为。假设只有主瓣相关,则方向图定义如下:

 

其中半功率波束宽度(HPBW)为

 

下图显示了各种最大值D0的方向图。各向同性辐射器对应于D0=1。


 

由于R中的积分叠加了磁盘边界指定区域内的所有贡献,因此它们随距离变化的相对相位建立了与距离相关的近场现象。

可以证实,随着距离的减小,由于指数项的影响被抑制,方向性对产生的相量有显著影响。从物理上讲,方向性会减弱目标外部的贡献。相反,在远距离下,相关立体角减小,使得定向天线在近场效应方面接近各向同性天线的行为。


参考文献



   

[1] B. Tegowski, D. Langer, M. Wenzel, N. C. Albrecht and A. Koelpin, "Near-Field Scattering Phenomena in Monostatic Radar Applications Derived From Physical Optics," in IEEE Transactions on Antennas and Propagation, vol. 73, no. 2, pp. 1084-1094, Feb. 2025, doi: 10.1109/TAP.2024.3486905.

来源:微波工程仿真
ACT光学通用汽车ANSA
著作权归作者所有,欢迎分享,未经许可,不得转载
首次发布时间:2025-07-16
最近编辑:2月前
周末--电磁仿真
博士 微波电磁波
获赞 38粉丝 62文章 440课程 0
点赞
收藏
作者推荐

天线罩的材料使用

天线罩用于保护天线免受环境影响,不仅可以防止物理损坏,还可以提供高增益。主要用于气候雷达、空中通道控制、卫星交互、遥测等。针对不同的应用,开发了许多形状和尺寸。材料选择是一个主导因素,对于增益、方向性、使用区域等不同参数,天线罩的设计仍然不尽相同。目录 天线罩的材料 天线罩与天线 参考资料 RadomeAs shown below👇天线罩的材料天线罩不仅用于保护天线,还用于防止电路复 制。设计天线罩(Radome)的材料需要综合考虑电磁性能、机械强度、环境适应性及成本。 材料特性要求1、电磁透明性 低介电常数(ε<sub>r</sub>):减少电磁波反射(通常 ε<sub>r</sub> < 4)。 低损耗角正切(tanδ):降低信号衰减(通常 tanδ < 0.01)。2、机械性能 高强度、轻量化(如航空航天应用需低密度)。 抗冲击、耐疲劳(如应对风雨、冰雹)。3、环境适应性 耐高低温(-50°C 至 150°C)。 防潮、防盐雾、抗紫外线(户外长期使用)。4、加工性能 易成型(注塑、热压、3D 打印等)。 可与其他材料复合(如夹层结构)。常用材料(1)聚合物基复合材料玻璃纤维增强塑料(GFRP)特性:低成本、轻质、中等介电性能(ε<sub>r</sub>≈3.5,tanδ≈0.01)。应用:民用基站、气象雷达。聚四氟乙烯(PTFE)特性:低损耗(tanδ≈0.001)、耐高温(-200°C 至 260°C)。应用:高频天线(毫米波、卫星通信)。芳纶纤维(Nomex/Kevlar)特性:高强度、耐冲击(ε<sub>r</sub>≈3.0,tanδ≈0.005)。应用:机载/舰载雷达罩。(2)陶瓷材料石英陶瓷(Fused Silica)特性:耐高温(>1000°C)、低膨胀系数,但脆性高。应用:高超声速飞行器天线罩。氮化硅(Si<sub>3</sub>N<sub>4</sub>)特性:高强度、耐腐蚀,适合极端环境。(3)泡沫与蜂窝夹层结构聚酰亚胺泡沫/PMI 泡沫特性:轻质(密度 30-200 kg/m³)、低介电常数(ε<sub>r</sub>≈1.1)。应用:夹层结构芯材,降低整体重量。蜂窝铝/芳纶纸蜂窝特性:高刚度重量比,与复合材料面板结合使用。(4)新兴材料超材料(Metamaterials)特性:人工设计结构实现负折射率、宽带透波。应用:隐身天线罩、多频段兼容设计。3D 打印聚合物(如PEKK、PEEK)特性:复杂形状快速成型,适合定制化需求。天线罩的设计与天线的考量在设计天线罩时需要考虑两个前提。1、 与天线距离最小安全距离通常要求天线与天线罩内壁的最小距离大于1/4工作波长,以避免近场耦合和驻波效应。 高频天线(如毫米波):λ较小,需严格控制间距(例如毫米波28 GHz时,λ≈10.7 mm,最小距离需≥2.68 mm)。低频天线(如UHF):λ较大,间距要求相对宽松(例如433 MHz时,λ≈69 cm,最小距离≥17 cm)。天线罩厚度( t)和间距( d)需协同设计,避免多次反射干扰。单层天线罩:总传播路径(d+t) 应避免形成驻波,通常需满足: 多层天线罩:通过渐变介电常数设计(如λ/4匹配层),可放宽间距限制。2、在非平面波时的影响天线罩与天线之间的距离会影响以下电磁特性:电磁波反射与驻波:天线罩材料与空气的介电常数差异会导致电磁波反射。若距离设计不当,反射波可能在天线与天线罩之间形成 驻波,导致信号失真或效率下降。驻波比(VSWR)可能升高,引发阻抗失配,降低天线辐射效率。近场干扰:在近场区域,距离天线约λ/2π 以内,电磁场分布复杂,天线罩的存在可能显著干扰天线近场分布,导致方向图畸变或增益损失。波束畸变:天线罩的曲面形状和距离可能改变天线的远场波束方向图,例如主瓣展宽、旁瓣抬高等。 参考文献 [1] B. Zhang and Z. N. Chen, "Guided-Wave Suppression in Uniaxial Anisotropic Metamaterial Slab for Radiation Pattern Control of Covered Dipoles," in IEEE Transactions on Antennas and Propagation, vol. 73, no. 2, pp. 952-961, Feb. 2025, doi: 10.1109/TAP.2024.3474799.[2] H. Sheng and Z. N. Chen, "Improving Radiation Pattern Roundness of a Monopole Antenna Placed Off-Center Above a Circular Ground Plane Using Characteristic Mode Analysis," in IEEE Transactions on Antennas and Propagation, vol. 69, no. 2, pp. 1135-1139, Feb. 2021, doi: 10.1109/TAP.2020.3004991. 来源:微波工程仿真

未登录
还没有评论
课程
培训
服务
行家
VIP会员 学习计划 福利任务
下载APP
联系我们
帮助与反馈