首页/文章/ 详情

超材料超表面--利用MTM高介电的耦合效应提高无线充电效率

2月前浏览112


无线电力传输 (WPT)的效率一直是亟待提高的问题。基于高介电常数介电谐振器耦合的 WPT 系统已经进行了实验测试,2016年的一项研究中加入了一个巨大的介电常数电介质(εr= 1000 和 tanδ= 0.00025) 在 232 MHz 时。通过应用阻抗匹配技术,在谐振器之间的间隔内实现了 50% 的效率d= 16 厘米 (0.125λ).

目录



   
  • 高介电谐振耦合器在WPT系统中的应用    
  • 高介电MTM的构造    
  • 参考资料    


MTM

As shown below👇



高介电谐振耦合器在WPT系统中的应用

2007 年,麻省理工学院的一个小组通过实验证明,当通过谐振耦合传输功率时,WPT 效率可以大大提高。他们通过两个金属线圈之间的强耦合磁共振,在 2 m 的距离内以 45% 的效率传输 60 W 的功率。从那时起,许多工作致力于研究谐振 WPT 及其在移动设备充电中的应用。

尽管如此,用于为移动设备充电的 WPT 系统仍然需要改进。首先,动力传输距离仍然有限。事实证明,高效传输的关键是耦合系数与谐振器损耗率的比值远大于单位。其次,发射器和接收器之间的错位降低了 WPT 效率。第三个缺点是无线充电的角度不稳定性,当发射器和接收器在空间中随机定向时,就会发生这种情况.


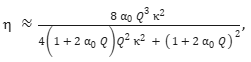
用高折射率介电谐振器代替传统的金属线圈,并在磁四极子 (MQ) 而不是磁偶极子 (MD) 谐振频率下工作可以克服上述问题。谐振器 Q 因子对 WPT 系统效率的影响。对于两个谐振器的一般情况,WPT 效率可以写为


 
 

通过减少欧姆损耗和辐射损耗,可以大幅提高谐振器的品质因数(Q 因子)。此外,由于 MQ 模式与 MD 模式相比具有独特的近场分布,因此 WPT 效率将更能抵抗发射器和接收器之间的随机方向。

基于上述的研究,MTM的特性被预见到可以发挥很大的作用。

MTM 是由工程结构组成的人造材料,具有天然材料中所没有的特殊电磁特性,例如负折射率和消逝波放大。

基于磁谐振耦合的 WPT 本质上是倏逝波的耦合,MTM 可用于提高 WPT 效率。

带有 MTM 的 WPT 系统的效率在自适应充电方面得到了显著提高。

同时,MTM可以增加遥测系统工作范围的灵活性,例如更远的传输距离和更大的电子或植入式设备的错位容差。






高介电MTM的构造

一种用于WPT系统和立方高介电共振器(CHDR)结构的单元如图所示。

 


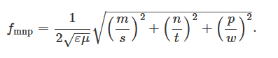
理论上,具有金属壁的矩形腔谐振器的谐振频率由下式给出

 

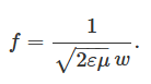
如果选择立方腔谐振器,则所有长度都相等,这意味着s=t=w。在这种腔谐振器的情况下,所有最低阶模式,如TM110、TE011和TE101,都具有相同的场模式或频率,被称为简并模式。这些简并模的共振频率为

 

在高介电共振器的情况下,壁上的边界条件可以被视为开路;因此,模式的谐振频率也可以近似用上述公式计算。研究发现,如果一个晶胞同时经历电共振和磁共振,由于两种共振模式的叠加,它可能会表现出极化不变响应。由于3-D结构的立方性质,CHDR具有简并的TE和TM模式。因此,CHDR对z方向入射波的偏振不太敏感。


参考文献



   

[1] R. Das, A. Basir and H. Yoo, "A Metamaterial-Coupled Wireless Power Transfer System Based on Cubic High-Dielectric Resonators," in IEEE Transactions on Industrial Electronics, vol. 66, no. 9, pp. 7397-7406, Sept. 2019, doi: 10.1109/TIE.2018.2879310.

[2] M. Song, P. Belov, and P. Kapitanova, “Wireless power transfer based on dielectric resonators with colossal permittivity,” Applied Physics Letters, vol. 109, no. 22, p. 223902, Dec. 2016, doi: 10.1063/1.4971185.

[3] M. Song, I. Iorsh, P. Kapitanova, E. Nenasheva, and P. Belov, “Wireless power transfer based on magnetic quadrupole coupling in dielectric resonators,” Applied Physics Letters, vol. 108, no. 2, p. 023902, Jan. 2016, doi: 10.1063/1.4939789.

来源:微波工程仿真
ACTSystemMAGNET电力电子ANSA理论Electric材料
著作权归作者所有,欢迎分享,未经许可,不得转载
首次发布时间:2025-07-16
最近编辑:2月前
周末--电磁仿真
博士 微波电磁波
获赞 38粉丝 62文章 440课程 0
点赞
收藏
作者推荐

不同电磁参数材料的覆盖对天线辐射的影响

由于天线常常工作在复杂的环境里,因此无线通信设备需要考虑工作环境或考虑天线罩的问题。例如暴露在多变天候的地理环境中的基站天线需要考虑天线罩协同仿真,深度植入生物体内部的传感器需要对天线在不同生物组织里的透射率做提升设计,高速飞行器天线罩以及热效应对天线性能的分析,最近多天线系统小型化也研究了使用盖板减少天线的耦合解决天线方向图的失真问题。综上,天线上方不同电磁参数的材料覆盖对天线的影响不可忽略。目录 天线上方覆盖的情况 单负超材料对互耦合缩减方法 参考资料 *As shown below👇天线上方覆盖的情况天线辐射方向图对附近环境很敏感。天线上方覆盖材料的来源有两类:主动和被动。主动覆盖天线上方的情况有:天线罩(Radome)是用于保护天线的外壳结构,通常由透波材料制成,能够在不显著影响天线性能的情况下,为天线提供物理保护。高速飞行器的天线罩设计天线罩、雷达罩匹配层,通过使用阻抗匹配层 (IML) 来增强植入天线从内到外的传输范围。 解耦合,紧密间隔天线之间的严重耦合和相关的失配问题会大大降低辐射效率。有研究使用超材料来抑制由盖板中的导波引起的天线之间的耦合 被动覆盖的情况多变有:沙尘雪水等 生物组织,不同生物传感器应用于不同个体环境的影响期刊观察--生物电磁学中的植入式天线复杂背景下的多物理场成像及在生物医学中的应用 大气、地壳、河海,卫星,水下通信,地球遥感等等场景,要考虑大尺度环境对天线的辐射影响。 单负超材料对互耦合缩减方法如下图所示的简单双元件 MIMO 天线系统。当两个天线元件彼此靠近时,耦合性将会很强;同时,天线系统的性能可能会严重恶化。 具有正介电常数 (εx>0) 和负磁导率 (μx<0) 可用于减少两个天线元件之间的相互耦合。当材料具有 沿 x 方向正介电常数 (εx>0) 和负磁导率 (μx<0)时,如上右图所示,x 方向的波数可以表示为(假设时间约定ejwt): 沿 − x 方向传播的电场的相应 x 分量可以表示为 表明沿 –x 方向传播的电磁波是倏逝的,并且波主要沿 z 方向传播,因此可以有效地抑制两个天线元件之间的相互耦合。上图中显示加载这种材料的双元件 MIMO 系统的辐射场分布示意图。虽然假设波在自由空间中传播并在充满材料的空间中用波数进行分析并不严格.参考文献 [1] B. Zhang and Z. N. Chen, "Guided-Wave Suppression in Uniaxial Anisotropic Metamaterial Slab for Radiation Pattern Control of Covered Dipoles," in IEEE Transactions on Antennas and Propagation, vol. 73, no. 2, pp. 952-961, Feb. 2025, doi: 10.1109/TAP.2024.3474799. [2] L. Si, H. Jiang, X. Lv, and J. Ding, “Broadband extremely close-spaced 5G MIMO antenna with mutual coupling reduction using metamaterial-inspired superstrate,” Opt. Express, OE, vol. 27, no. 3, pp. 3472–3482, Feb. 2019, doi: 10.1364/OE.27.003472.[3] Li, Y., Feng, Q. Enhancing the Transmission Range of Video Capsule Endoscope Antennas Using Ferrite as an Impedance Matching Layer Based on Transmission Line Theory. J. Electron. Mater. (2025). https://doi.org/10.1007/s11664-025-11796-9[4] D. Nikolayev, M. Zhadobov, P. Karban, and R. Sauleau, Electromagnetic radiation efficiency of body-implanted devices. Phys. Rev. Appl. 9(2), 024033 (2018). https://doi.org/10.1103/PhysRevApplied.9.024033.来源:微波工程仿真

未登录
还没有评论
课程
培训
服务
行家
VIP会员 学习计划 福利任务
下载APP
联系我们
帮助与反馈