Rotman透镜是一种微波/毫米波波束成形网络(Beamforming Network, BFN),由Walter Rotman和R. F. Turner于1963年提出。它是一种无源、宽角、多波束天线馈电系统,主要用于相控阵天线(Phased Array Antennas)或反射阵列(Reflectarrays),以实现多波束扫描或逆向波束成形(Retrodirective Beamforming)。
Rotman透镜设计方法
*Rotman透镜设计方法
明确指标,如
中心频率(f0):如33 GHz(Ka波段)。
波长(λ):λ=c/f0,其中 c 为光速。
扫描角度范围(θ0):如±30°。
波束端口数量(M):由角度范围和波束间隔决定(论文中为7个端口,间隔10°)。
阵列端口数量(N):通常等于或略多于天线单元数(论文中为8个)。
天线单元间距(d):通常取 0.5λ(避免栅瓣)。
几何形状确定
焦距(Focal Length)
主焦距(F1 ):透镜中心到波束端口的距离。
需满足:
角度参数
偏轴角(α):波束端口与主轴的夹角。
波束角(θ):阵列端口的波束指向角。
两者关系由扩展因子(γ)决定:
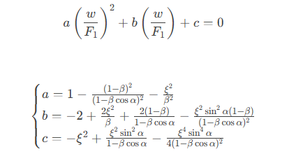
传输线长度计算
Rotman透镜通过不同长度的传输线实现时间延迟。传输线长度 w 满足二次方程:
*波导平台上的 Rotman 透镜
波导(Waveguide)是实现Rotman透镜的高性能平台,尤其适用于毫米波频段(如Ka波段)。相比微带或SIW(基片集成波导),波导具有低损耗、高功率容量和高稳定性的优势。
波导Rotman透镜设计步骤
(1)波导结构设计
极化方式:
将标准矩形波导(WR-28,3.556 mm × 7.112 mm)旋转90°,使电场沿宽边分布(水平极化),以减小衍射效应。
垂直极化:传统设计,但易引入高次模。
水平极化:优化波束成形,降低旁瓣。
端口渐变结构(Taper):
波导与透镜腔体的连接处需采用渐变过渡,避免阻抗突变。
作用:匹配阻抗,减少反射(S11 <−10dB)。
(2)透镜腔体参数
焦距与端口布局:
基于几何光学公式,计算波束端口和阵列端口的位置。
案例:7波束端口(±30°扫描),8阵列端口。
阵列间距 d=0.5λ=5.45mm(33 GHz)。
相位补偿:
波导高度与透镜腔体高度不同,需通过仿真(如CST)调整传输线长度,补偿相位误差。
(3)天线阵列集成
喇叭天线设计:
采用H面扇形喇叭,与波导水平极化匹配。
阵列间距保持 0.5λ,避免栅瓣。
[1] S. Oh et al., "Millimeter-Wave Retrodirective Wireless Power Transfer Applicable to Small Electronic Devices," in IEEE Journal of Microwaves, vol. 5, no. 2, pp. 322-332, March 2025, doi: 10.1109/JMW.2024.3518555.
