在锂电池制造过程中,涂布烘箱是极片生产流程中极为关键的设备之一。烘箱内风速分布的均匀性,直接关系到极片干燥质量与性能稳定性。如果风速分布不均匀,极易引发极片干燥不均、涂层厚度差异大甚至出现局部缺陷,影响电池整体性能表现。如何判断涂布烘箱内部风速分布的均匀性,并采取有效措施进行优化,已成为锂电池制造企业亟需解决的技术难题。
本文将从烘箱结构及工作原理入手,通过深入解析影响风速分布均匀性的主要因素,并结合实际经验与数值模拟研究成果,为大家提供切实可行的优化措施。
一、干燥烘箱结构及工作原理
涂布烘箱是锂电池极片制造工艺中的关键设备之一,其核心任务是利用热空气对涂布浆料进行均匀、快速的干燥。当前,广泛应用的悬浮式烘箱主要由上下风室、风刀、导流板、入风口、排风口及加热系统组成。
烘箱的工作原理为:加热后的空气通过入风口进入风室,经由风刀的均流筛孔及狭缝口喷出,形成高速均匀的热风射流冲击极片表面。上下交错布置的风刀在烘箱内形成稳定的气流场,使极片在无托辊支撑的状态下以正弦波形“悬浮”前进,实现高效且均匀的干燥效果。
然而,理想情况下的均匀风速分布在实际生产中并不易实现。烘箱内部结构及风刀布局稍有不合理,便会造成风速场分布不均,给极片干燥效果带来负面影响,甚至导致废品率升高、性能不稳定等严重问题。因此,深入理解烘箱内部风速的分布特性,对提升产品品质至关重要。
为了实现极片干燥质量的稳定性,必须确保烘箱内部的风速分布在长度和宽度方向上均匀一致。然而,实际生产中,由于结构设计、风刀布局、进出风口位置及运行参数的差异,烘箱内部风速通常存在显著的不均匀现象。
根据数值模拟和实验测量的研究发现,如图2所示,沿烘箱长度方向,各风刀的出风口位置风速一般较高,而远离风刀的位置风速明显降低,形成周期性的波动;在烘箱宽度方向上(图3),各风刀的出口风速一般呈对称分布,但由于进风口位置和风刀狭缝宽度的差异,也存在一定程度的不对称性。这种分布不均匀性容易导致极片表面局部区域干燥不充分或过度干燥,从而影响电池性能。
因此,明确掌握烘箱内部风速分布的实际情况,是优化设备结构与工艺参数的重要基础。
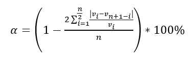
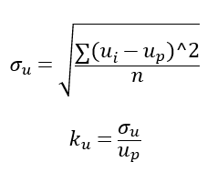
各风刀总体平均对称度与均匀度计算方法如下:
式中:
式中:

由上表可得,开孔率不同,各风刀出口的最大风速与平均风速基本相同,速度的均方差差别不大,说明开孔率对风刀的均流特性影响不大。
实现涂布烘箱风速场的均匀性,不仅关乎干燥效率和极片品质,更直接影响到锂电池整体性能的稳定性与生产一致性。风速分布虽不可见,但却是涂布工艺的“隐形把控力”。因此,掌握风速分布调控的关键参数与优化手段,对于把控极片乃至电池的质量至关重要。希望本文能给大家一些启发,欢迎大家在评论区写下你的看法。