显式算法在仿真分析中比较常见,经常应用在瞬态动力学、准静态问题分析中;显式求解算法基于动力学方程,当前时刻的位移只与前一时刻的速度和位移相关,求解过程中无需迭代。本节试图让读者从概念上理解应用显式动态算法时应力是如何在模型中传播的。
应力波传播过程:
为了简单且明了的描述应力波在显式算法中如何传递的,本文以杆件为受力对象进行分析。
如图1所示,描述应力波沿着一个包含三个单元(三个节点)的杆件模型传播的过程,同时研究杆件随着时间增长的各个状态,以及受力过程;左侧加集中力P,右侧约束。

图1 自由端作用有集中力的杆件的初始状态
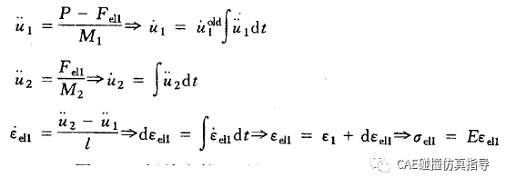
在第一个时间增量段,施加在节点1的集中力P的作用结果是使节点1具有一个加速度
。这个加速度引起节点1产生速度
,接着在单元1内引起应变速率
。沿第一个时间增量段内对应变速率进行积分获得了单元1的应变增量
。总应变
,是初始应变
和应变增量
的和。此问题中初始应变为零。一旦单元的应变求出之后,可以通过材料的本构关系求出单元的应力
。

求解过程
对于线弹性材料,应力就是弹性模量与总应变的乘积。这个过程如图2所示。在第一个时间增量段,节点2和3因为没有力作用其上,所以没有移动。

图2 自由端作用有集中力的杆件在第一时间增量段结束时的状态
单元①计算过程:

在第二个时间增量段,由单元1的应力得到内力,施加到与单元1相连的节点上,如图3所示。这些单元应力随后用于计算节点1和节点2的动力平衡方程。

图3 杆件在第二个时间增量段开始时的状态
单元②计算过程:

这个过程继续下去,到第三个时间增量段开始时,单元1和2已存在应力,以及节点1、2、和3存在了作用力,如图3.4所示。这个过程继续下去,直到总的分析时间结束。

图4 杆在第三时间增量段开始时的状态