首页/文章/ 详情

技术博客 I PCB 中的电源平面谐振分析

1月前浏览59
 

 



本文要点



  • 在两个导电平面之间传播的电磁波会激发平行板波导谐振。

  • 在 PCB 的电源分配网络 (PDN) 中,平行平面结构内部会激发谐振,从而导致电路板边缘出现强辐射。

  • 这些谐振通常在 GHz 范围内,在 PCB 中的 PDN 阻抗谱或带有近场探头的示波器上会有所显示。


我们习惯从电路图和等效电路的角度来分析电子系统,但这种思路最终会遇到阻碍,我们必须考虑到实际电子系统的高频特性。在实际的 PCB 中,电信号的传播特性将在系统行为中发挥主导作用,其中包括像直流电源分配这种简单的现象。直流电并非真正的直流电,会在 PCB 中激发强烈的谐振,由集成电路引入电路板的直流电更是如此。


 

每块高速 PCB 都有电源平面和接地平面,电磁波传播会激发平面谐振。


PCB 中的电源平面和接地平面布置是整个电路板电源分配的基础,它们需要为器件提供稳定的电源。实际上,任何电路板都会产生重要的瞬态效应,而电路板中的平面层结构作用很大,可以决定极高频率下的辐射频谱。这就是电源平面谐振分析的用武之地,该分析有助于了解 PDN 电路描述的局限性,也能帮助我们判断在何时需要从波导行为的角度考虑平面布置。


1

电源平面谐振分析


观察一下 PCB 中 PDN 的阻抗图就会发现,在高频时会出现一些谐振行为。根据电路板的结构和尺寸,这些频率一般在 GHz 范围内,或者更高。当 PCB 中的电源平面和接地平面重叠时,它们所形成的结构会构成一个半开放的平行板波导,该波导具有一些明显的谐振。下图的示例展示了在 PCB 上测得的 PDN 阻抗谱,其中包括在高频下可以看到的谐振。


 

在 PDN 输入端测得的 PDN 阻抗谱示例,500 MHz 以上可见平面谐振。


PCB 中所有的实际电源平面布置都有一些谐振,这些谐振可通过结构中的电磁波传播辐射而激发。PDN 中所有的谐振都可以通过考虑系统结构来计算,系统结构看起来与平行板波导非常相似。虽然我们可能会认为 PDN 的行为与平行板波导完全相同,但实际上我们得出的只是一个近似值;在 PCB 平面之间穿过该区域的所有其他导体都会改变谐振频率,使其与平行板波导的计算值不同。此外,PDN 的有限跨度将决定结构中的谐振,从而将平行板波导谐振更改为空腔谐振。


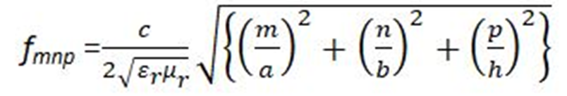
对于尺寸为 a 和 b 的电路板,电源平面和接地平面之间的间距为 h,则谐振频率为:


 

一般空腔谐振器的谐振频率,假设谐振器为矩形结构。


虽然上述公式并非普遍适用于每种 PDN 结构,但它为我们提供了最低阶 PDN 谐振的近似值。最低阶 PDN 阻抗的典型值从 100 MHz 到 1 GHz 以上不等,具体取决于电路板的尺寸和结构中平面之间的间距。


芯片也有自己的 PDN,因此按照逻辑推理,它也会表现出一些谐振,可能会被电路板电源轨上传入的瞬态振荡所激发。然而,由于芯片及其 PDN 的几何形状,情况并非如此(极高频率下除外)。


2

从电路板过渡到芯片


当电源的入射波撞击到芯片上之后,芯片电源轨上测得的电压将与电路板电源轨上测得的电压大不相同。集成电路的电源轨与裸片上的接地平面之间的间距要小得多,因此电源平面谐振的频率要高得多。


下图是以三种不同方式测量 PDN 阻抗的仿真示例。蓝色曲线显示的是 CMOS 集成电路在芯片主电源轨上测量的典型 PDN 阻抗曲线。这是直接在裸片上测量的曲线类型,经过了任何无源调节部分;请注意,其中不包括因键合线或引线框架而产生的引脚封装电感。将该曲线与电路板阻抗平行对比,假定电路板阻抗为强去耦,在 10 kHz 以上具有相对平坦的阻抗。红色曲线表示这两个阻抗的平行等效值。


 

芯片 + 电路板封装的总阻抗(红色曲线)。请注意,裸片上看不到高阻抗谐振。


在此示例中,总阻抗在约 100 MHz 处出现反谐振,但相对较弱,只有 1 欧姆左右。曲线的其余部分非常平坦,在低频时与电路板的低阻抗部分重叠,在高频时与芯片的 PDN 阻抗重叠。芯片 PDN 也存在高阻抗谐振/反谐振对,但频率很高,在上述窗格中看不到。PDN 上芯片电容的存在也有助于使芯片上测得的总阻抗保持在较低水平。


举个简单的例子,我们可以比较电路板和芯片最低阶波导模式的阻抗。在上述示例中,电路板的最低阶谐振仅为 2 GHz;如果我们假设裸片上的电源轨到接地平面的距离仅比芯片尺寸约为 1 cm2 的 PCB 上的距离小 10 倍,那么芯片 PDN 中的最低阶谐振将超过 20 GHz。不应使用电路模型来计算集成电路或电路板 PDN 这类复杂结构中的确切谐振频率。此类谐振最好使用场求解器应用来确定,该应用可直接从物理 layout 中提取数据。


Cadence 的 PCB 设计和分析软件可用于对电路板和电路行为进行仿真,将其作为电源平面谐振分析的一部分。然后,我们可以在任何建模应用中使用自己的数据来计算互谱密度和分析信号行为。


Cadence 的新一代 Sigrity  X 解决方案重新定义了 SI 和 PI 分析,将性能提高了 10 倍,同时保持了 Sigrity工具一贯的准确性。Sigrity X 工具套件解决了当今 5G 通信、汽车、超大规模计算以及航空航天和国防工业领域前沿技术专家所面临的系统级仿真的规模和可扩展性挑战。它配备了强大的系统级分析仿真引擎,旗舰产品 Clarity 3D Solver 更采用了创新的大规模分布式架构。

来源:Cadence楷登
System电源电路航空航天汽车电子芯片CadenceSigrity
著作权归作者所有,欢迎分享,未经许可,不得转载
首次发布时间:2025-10-26
最近编辑:1月前
Cadence楷登
签名征集中
获赞 2粉丝 110文章 635课程 0
点赞
收藏
作者推荐

技术博客 I 详解高密 PCB走线布线的垂直导电结构 (VeCS)

本文要点:什么是垂直导电结构(Vertical Conductive Structures,VeCS)及其工作原理。利用 VeCS 进行PCB设计的优势。使用 VeCS 技术设计电路板的后续步骤。长久以来,我们不断努力改进设计和构建电路板的方式——已从通孔发展到表面贴装元件,从双层电路板发展到多层电路板,从普通导线走线发展到高密布线。似乎如今已没有什么可以尝试的新鲜技术,然而这种想法是错误的。 一块高速高密印刷电路板。为了尽可能有效地利用可用的电路板空间,目前业内正在引入一种新的走线布线方法。这种方法使用垂直导电结构 (Vertical Conductive Structures,VeCS),允许在板层堆叠中垂直布线,而不是使用传统的过孔。显然,这样做可以节省不少空间,还额外带来许多其他好处。下面我们来具体了解一下。1VeCS 及其工作原理在拥有大量引脚、遍布细间距元件的高密电路板上进行布线,挑战之一是为所有的走线找到足够的布线通道。即便使用微孔和 BGA 盘中孔 (via-in-pad) 技术进行逃逸布线,用于布线的可用空间也会很快用完。另一个问题是,为了在更多的层上打更深的孔,必须增加钻孔直径,这也占用了更多的空间。此时,垂直导电结构 (VeCS) 就有了用武之地。VeCS 技术允许走线垂直穿过电路板的堆叠,从而取代了钻孔。除了传统的制造通孔电路所需的设备外,该技术不需要使用任何专门的设备,但它会将 PCB 的布线密度提高到接近高密互连 (HDI) 的水平。以下是在电路板上制造 VeCS 的基本步骤,如下图所示:1从顶部看,通过在电路板材料上钻孔和/或布线来创建一个插槽。2根据标准的 PCB 制造技术,对该插槽进行金属化和电镀处理。3较大的钻孔相邻放置,以钻出不需要的金属。4较大的钻孔相邻放置,以钻出不需要的金属。 VeCS 的基本制造过程。当然,这只是一个非常基本的例子,实际制造过程取决于每个应用的具体要求。如上图底部所示,红色的小区域是垂直穿过电路板的金属。然后,这些垂直的导体可以触及电路板内层的普通水平走线。可以在垂直导电结构中使用两种插槽技术:VeCS-1 和 VeCS-2。第一种类型的插槽穿过整个电路板堆叠,而第二种类型则用于多级盲孔连接。由于 VeCS 是使用标准工艺制造的,它们也可以与通孔、盲孔和埋孔以及微孔技术结合使用。这提供了诸多优势,详见下文讨论。2利用 VeCS 进行 PCB 设计的优势从上图可以看到,垂直导体的横截面更小,比钻孔的横截面更接近于标准走线。与通孔相比,这种导体轮廓最终导致网络的电感量更小。同时,更有利于垂直走线将信号传递到参考平面,所有这些都有助于改善电路板的整体信号完整性。不过,最主要的优势可能是 VeCS 为走线布线增加了布线通道。对于一个具有 0.5 毫米间距引脚的 BGA 元件,使用盘中孔进行逃逸布线时,在内层布线通道上的孔之间的空间仅够布设一条走线。然而,通过使用 VeCS,布线通道的数量增加到了五个。在下图中,可以看到两者之间的区别,左边是标准的盘中孔逃逸布线模式,右边是 VeCS。蓝色代表钻孔或布线的区域,而红色是可以通过内层的通道进行布线的走线。可以看到,黄色的垂直走线连接到黑色的 BGA 焊盘,然后向下延伸通过电路板层堆叠。同样,这只是一个基本的例子,但它可以让我们了解 VeCS 所能提供的一些空间优势。 盘中孔和 VeCS 布线比较。有了增加布线密度的能力,电路板的尺寸和/或层数就可以减少;这也会降低 制造成本。那么下一个问题是,如何才能在 PCB 上设计 VeCS?3使用 VeCS 技术设计电路板的步骤制造和设计垂直导电结构 (VeCS) 的技术早已问世。PCB 设计 CAD 工具经过恰当设置后可以与这种技术配合使用;此外,一些先进的设计系统,如 Cadence Allegro PCB Designer,无需额外配置即可设计 VeCS。同时,也要确保合作的 PCB 制造厂经过许可,能够生产这种技术。一旦确认了这一点,就可以开始探索这项新技术了。在我们的行业中,还会出现更多新的电路板设计和制造技术,为了保持领先,我们应该做好准备,在这些新的技术出现时进行大胆探索。要实现这一点,需要拥有一个能够支持这些新技术的 PCB 设计系统作为设计过程的基础。事实证明,Allegro PCB Designer 经过妥当设置,可以很好地支持 VeCS 和许多其他新兴技术。来源:Cadence楷登

未登录
还没有评论
课程
培训
服务
行家
VIP会员 学习计划 福利任务
下载APP
联系我们
帮助与反馈