首页/文章/ 详情

颗粒材料(particulate materials)之计算力学专题分享

15小时前浏览9
文一:
 

多相流动的光滑粒子流体动力学方法研究综述

摘要:

 光滑粒子流体动力学 (s moothed particle hydrodynamics, SPH) 具有粒子方法的无网格和全拉格朗日特征,适用于具有界面大变形、不连续性和多物理场的多相流的高精度模拟。SPH 方法模拟多相流已有大量报道, 具体的实现方式也大不相同。本文首先阐述了采用 SPH 方法模拟流体的基本控制方程, 以及求解过程中需要考虑的流体压力求解、表面张力、固体边界等问题。整理和总结了基于 SPH 方法进行多相流模拟的主要实现方式:(1) 双流体模型的拉格朗日求解器: 两相离散为两组独立 SPH 粒子, 并用显式相间作用耦合两相; (2) 多相SPH 方法: SPH 方法对多相流模拟的自然延伸, 相间作用由 SPH 参数隐式描述; (3) SPH 与其他离散方法的耦合: 差异较大的两相各自采用不同离散方法, 发挥不同拉格朗日方法的优点; (4) SPH 和基于网格方法的耦合:网格方法处理简单的单相流动主体, 获得精度和效率间的平衡。另外, 还在模拟参数物理化等方面论述了与 SPH方法模拟多相流相关的一些改进和修正方法, 并在最后讨论和建议了提高多相流 SPH 模拟效率和精度的措施。

 

图:分子在界面上的相互作用

 

图:躺滴示意

 

图:边界属性定义示意

文二:

 

冲击载荷下颗粒材料临边界区域的波动行为及变形特征分析

摘要:

研究颗粒材料中的波传播问题在超材料制造方面有重要意义, 如波传导超材料边界的设计需考虑应力波的反射和吸收等问题。本文从一维颗粒链中的波传播行为出发, 根据距边界不同位置处颗粒能够得到的最大动能的不同, 给出了临边界区域的定义。然后分析了多组二维颗粒样本在冲击载荷作用下应力波的传播行为,主要考虑了不同边界形状及不同颗粒排列方式对应力波在临边界区域内传播行为的影响。研究表明, 临边界区颗粒排列方式主要影响边界附近颗粒的相对位置和局部孔隙率; 经边界反射后的应力波直接以边界形状在临边界区内传播, 该结论在边界情况越复杂 (高局部孔隙率, 颗粒无序随机排列) 时越准确; 在临边界区域外 (即材料中心区域), 波前形状主要由波速决定。弧形边界对波反射的汇聚作用和临边界区域内颗粒的排列方式所引起的弥散作用是两个竞争因素, 共同决定临边界区域内波的反射过程。最后分析了临边界区域内颗粒力链网络在反射前后的变化. 该研究将为超材料设计提供借鉴。

 

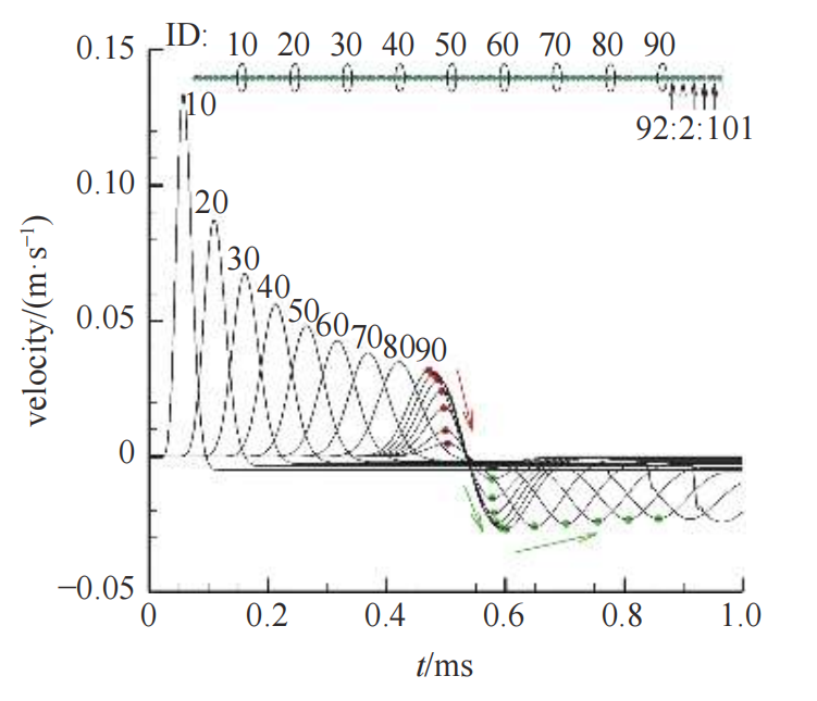
图:颗粒速度随加载时间的变化 (线性接触模型) 

 

图:计算模型

 

图:波前形状随时间演化 θ = 0

 

图:随机排列样本中波前演化图. 上: 单粒径, 下: 均匀分布多粒径

 

图:均匀分布多粒径随机排列样本波前形状图

 

图:应力波反射前后临边界区颗粒动能分布

文三:

 

颗粒介质固--流态转变的理论分析及实验研究

摘要:

颗粒介质由大量离散的颗粒聚集而成,因而与传统固体和流体不同,运动过程中的颗粒介质中可能同时存在多种流态及其相互间复杂的转换过程。颗粒介质弹性失稳机理、不可恢复应变量化是研究颗粒介质固态和流态及固--流态转变的关键。在前期建立的双颗粒温度热力学 (two-granular-temperature, TGT) 理论基础上,确定了颗粒介质的弹性稳定性条件,建立了不可恢复应变流动法则,搭建了描述颗粒固态--液态及其相互转化的简单模型。颗粒堆积体坍塌过程是典型的颗粒介质固态和流态及其转变过程,因此本文首先开展了 25 167 个陶颗粒堆积体坍塌过程的实验研究,并使用基于 TGT 理论的物质点方法和离散元方法对物理实验进行了模拟。结果表明,模型数值结果与物理实验在颗粒堆坍塌过程中的形态、速度分布等细节上吻合很好,同时也发现了现阶段所使用的物质点方法和 TGT 理论的不足。初步说明 TGT 理论可以实现颗粒介质固态和流态,以及状态转变的描述。 

 

图:弹性失稳和 Drucker--Prager 屈服的对比

 

图:颗粒介质应变增量及应力的分解

 

图:计算流程

 

图:陶颗粒的初始堆积形态和压强分布

 

图:陶颗粒堆积体坍塌过程中的形态演化实验照片 (a) 和 DEM 和 MPM 模拟得到的沙堆坍塌过程速率场 (b),(c) 和 MPM 模拟的失稳区域 (d) 的演化

 

图:MPM 模拟得到的最终堆积时的密度分布

文四:

 

基于多介质、多尺度离散元方法的冰载荷数值冰水池

摘要:

极地船舶与海洋工程结构冰载荷的确定是其结构抗冰设计、冰区安全运行和结构完整性管理的重要研究内容。当前快速发展的高性能计算技术和多介质、多尺度数值方法为准确、高效地计算结构冰载荷提供了有效的途径, 其中以离散元方法为代表的数值方法取得了出色的研究成果。为此, 本文针对目前极地船舶与海洋工程结构对冰载荷及力学响应的工程需求, 同时考虑国内外对海冰、工程结构与流体相互耦合的多介质、多尺度数值方法研究现状, 对极地船舶与海洋工程数值冰水池的概念、框架、开发技术以及基于离散元方法的软件实现与工程应用进行了论述。数值冰水池在船舶与海洋工程结构冰载荷确定方面具有可靠性、经济性、快速性、扩展性和情景化等显著优势。本文工作借鉴数值水池的研究思路, 以典型船舶和海洋平台结构冰载荷及结构力学响应的离散元计算为例, 探讨了数值冰水池研究的可行性和工程应用前景, 阐述其与理论分析、现场测量和模型试验研究相结合的必要性。以上研究有益于中国在极地船舶与海洋工程领域形成具有独立知识产权的数值计算分析平台, 对中国极地海洋强国的战略实施具有很好的启发和指导意义。

 

图:数值冰水池的基本框架

 

图:北极海冰的冰晶细观结构

 

图:采用球体离散元方法构造的不同海冰类型

 

图:海冰离散元方法中的不同单元形态

 

图:不同数值方法模拟的冰–结构相互作用

 

图:采用 DEM–FEM 方法模拟的锥体海洋平台结构冰激振动

 

图:船舶在碎冰区及平整冰区中航行的离散元模拟

 

图:平整冰与锥体海洋平台上部、中部和下部作用时的离散元模拟三维再现

 

图:数值冰水池中船与平整冰相互作用模拟

 

图:数值冰水池中船与碎冰相互作用模拟

文五:

 

基于深度学习和细观力学的颗粒材料本构关系研究

摘要:

颗粒材料的本构关系对岩土工程等众多领域至关重要. 不同于传统的唯象本构理论, 本文基于机器学习模型探索了一种细观力学理论指导下的数据驱动型颗粒材料本构关系预测方法。根据 Vogit 均质化假设, 建立了小应变条件下颗粒材料应力−应变解析关系, 此关系唯一地确定了一组与颗粒材料本构行为相关的细观组构变量。这些变量与反应颗粒材料宏观性质的主应力和主应变信息通过一系列离散元三轴压缩数值试验获得。考虑到细观组构变量为内变量, 不能直接作为本构模型的输入。本文基于有向图方法将颗粒材料微观结构信息隐式地包含在应力−应变的预测当中, 并采用门控循环单元 (GRU) 循环神经网络作为基础深度学习模型描述有向图中结点之间的映射关系。通过将有向图从目标节点沿源节点展开, 整个应力−应变预测模型可由两个神经网络分别训练并组装而成。将训练后的深度学习模型在全新的数据集上进行测试, 结果表明该训练策略能有效捕捉到颗粒材料在常规三轴任意加卸载, 等中主应力系数 b 的真三轴加载, 和等平均有效应力 p 的真三轴加卸载等复杂多轴加载工况下的应力−应变响应关系, 模型具有良好的内插和外推预测能力。考虑到深度学习模型捕捉颗粒材料力学响应的能力及其开放式学习的特点, 充分结合数据驱动方法和理论本构模型可能是颗粒材料本构研究的一个重要方向。

 

图:基于深度学习的本构模型示意图

 

图:人工神经网络的训练过程

 

图:颗粒接触与接触位移

 

图:基于有向图包含组构演化的本构训练方式

 

图:两组最佳与最差预测

来源:STEM与计算机方法
振动多相流船舶岩土海洋离散元理论自动驾驶材料多尺度数字孪生控制人工智能
著作权归作者所有,欢迎分享,未经许可,不得转载
首次发布时间:2025-11-01
最近编辑:15小时前
江野
博士 等春风得意,等时间嘉许。
获赞 56粉丝 83文章 153课程 0
点赞
收藏
作者推荐

力学的学习、研究和应用:非反思性、经验主义的无序积累和内在动机论

今天的主题是源于我在力学相关行业的学习、从业者身上观察到的比较多的现象,摘取其中的三个谈给大家分享下。首先解释一下几个术语的意思:非反思性其实指的就是学习不讲究章法、囫囵吞枣,虽然也花了很多的时间,但是没有有真正的学会。例如,很多人一开始就没有把微积分学好,导致理论力学就学不好,拉格朗日理论没学好,就会影响后面的变分原理和数值计算方法。又或者,做研究的时候,为了追求效果的炫酷,把理论改的很难,或者做了很多没有用的数值计算,就是为了使得论文当中有东西可以写,能体现难度和深度,可以发 论文。因为缺乏对自身学习过程的反思和批判性审视,往往只是积累表面的知识,而不对知识背后的原理、结构和方法进行深入探究。经验主义的无序积累其实指的就是什么都学,纯凭借自己一时的想法,要么就是兴趣,要么就是为赚钱,找工作考虑等等。例如:本来只是学习固体力学的理论,但是发现掌握商业软件更好就业,又发现实验好发 论文,索性就理论、实验和计算都去学习了。或者,原来是做传统力学的理论计算的,现在机器学习和AI4S开始席卷力学领域,又开始转向研究力学的机器学习了。知识是通过经验、观察和学习积累起来的。然而,如果学习变得无目的且盲目,意味着只是简单地累积经验或信息,而不进行整理、分析或批判性思考。这种方式缺乏将知识内化并与理解联系起来的过程,因此可能只是机械性的知识积累,而非真正的理解。内在动机论其实指的就是为什么去学习力学。也许是听别人说的力学专业好就业,也许是自己的兴趣所在,喜欢力学相关的理论和工作,又或许是给自己的简历上添加教育和工作经历。例如:力学理论本身的乐趣和对知识的渴望,或者为了赚钱,就业,又或者是因为国家重视,开始大力发展。科研为什么要做这些工作呢?是因为有用,还是为了发 论文而去做的呢?选择力学本身被视为一种价值或目的,而不是达到其他外在目的(如职业成功)或者主动选择了学习和从事力学相关专业,作为生活的一部分,并赋予这一行为以个人意义。来源:STEM与计算机方法

未登录
还没有评论
课程
培训
服务
行家
VIP会员 学习计划 福利任务
下载APP
联系我们
帮助与反馈