首页/文章/ 详情

计算力学前沿分享:颗粒复合材料、DEM冲击模拟、流固耦合、分子动力学

2小时前浏览4

文一:  

一种颗粒复合材料物理性能计算模型与工程应用

摘要:

结合傅里叶描述子法与格林函数法提出了任意形状夹杂物的Eshelby张量计算方法,基于分步夹杂法建立了一种具有任意形状颗粒的复合材料物理性能预测理论模型。通过傅里叶描述子法对扫描电镜(SEM)图像中颗粒形貌进行数学表征,构建由多个细观结构参数组合的几何模型;利用格林函数求解夹杂物Eshelby张量,考虑颗粒形态、大小和组分性能,研究细观结构对颗粒复合材料有效性能的影响。在此基础上,设计了一款颗粒复合材料物理性能预测软件。以铜铬合金为研究对象,分析重构的细观模型与预测的结果,并与有限元计算结果进行对比,验证了该计算模型的有效性和可靠性,以及在工程计算应用中的可行性。

 

图:软件人机交互界面 

 

图:SEM和合金重构细观结构

 

图:弹性性能计算结果显示界面

 

图:电导率预测可靠性验证

文二:

不同重力场下颗粒冲击过程的离散元分析

摘要:

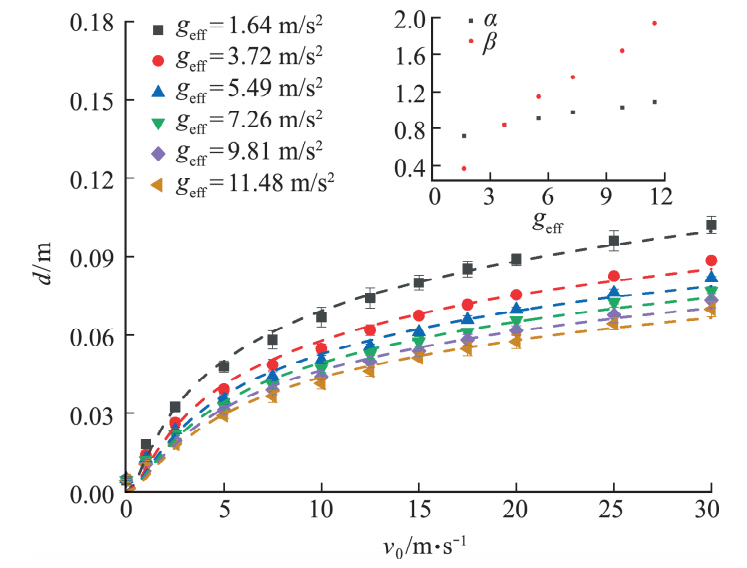
开展不同重力场下颗粒材料冲击动力学研究有助于加深对颗粒运动机制的理解和深空探测任务的实施。本文采用离散元模拟对颗粒介质受球形冲击物的冲击过程进行了数值模拟,并与地球重力下冲击的试验结果进行对比验证。在此基础上,进一步研究了重力加速度对冲击物动力学的影响规律。计算结果表明,在所有重力加速度下,冲击物的穿透深度d与冲击速度v。的关系可以用Poncelet模型表达;d与冲击物下落的总高度H表现为d~H”的幂律关系,当H<10m时,d与H的幂率标度为0.322,而H>10m时,d与H的幂率标度下降到0.211。此外,穿透深度小于冲击物半径时,重力加速度对冲击物减速过程无影响。在所有的重力加速度下,当冲击速度大于5m/s时,冲击物的持续碰撞时间t。是恒定的,且与重力的一1/2次方呈正比。

 

图:H1=0.5cm时,冲击力变化过程的试验结果和模拟结果与本文离散元计算值对比。

 

图:不同颗粒厚度下试验结果和模拟结果与本文离散元计算获得的底板最大冲击力

 

图:v=15m/s时,不同阶段的颗粒床切片图

 

图:冲击物的最终穿透深度随重力加速度和冲击速度的变化,内插图为系数α和3随重力加速度的变化

文三:  

地震和风耦合作用下连体高层建筑联合易损性分析方法研究

摘要:

摘要:近年来,城市地标建筑的建设中,高层连体建筑越来越受到青睐,在其服役期内不可避免地受到风和地震等多种灾害作用。而单一灾害作用下的结构失效概率低估了结构损伤乃至倒塌的可能性,迫切需要多灾害作用下的结构安全性能评价方法。本文以苏州国际会议酒店的连体高层建筑为对象,开展了地震和风耦合作用下的联合易损性分析方法研究。首先,建立了地震和风耦合作用下的多灾害易损性函数和结构性能需求函数,形成了多灾害联合易损性分析方法。随后,选取了地震动记录,开展了基于数值风洞的结构风荷载模拟,并进行了单一灾害作用下的结构易损性分析。最后,基于均匀分布抽样了100组地震和风耦合作用的荷载组合,开展了结构多灾害联合易损性分析。结果表明,结构易损性随着PGA和风速的增大而增大;相比单一灾害作用,地震与风耦合作用下,结构各破坏状态的失效概率均有所增加;当风速达40/s时,罕遇地震作用下结构轻微破坏、中等破坏、严重破坏和倒塌破坏的概率相比仅地震作用时分别增加了1.13%,35.67%,84.00%和98.33%。本文研究为复杂高层建筑多灾害安全性能评价提供了可用工具和参考。

 

图:苏州市国际会议酒店项目

 

图:地震动记录

 

图:结构数值风洞模拟

 

图:地震与风耦合作用下联合易损性曲面与位移时程

文四: 

分子动力学模拟含不同初始缺陷单晶镍的断裂行为与应力演化

摘要:

断裂是一个跨尺度复杂的物理过程,对宏观尺度的断裂行为已有深入的研究和发展,然而对微观尺度的断裂行为及断裂过程中应力场的变化缺乏深入的理解。本文通过分子动力学模拟,研究了具有不同初始缺陷(尖锐裂纹、钝裂纹和孔洞)的单晶镍的断裂行为和应力分布特征。结果表明,不同的初始缺陷导致了不同的断裂机制、断裂强度和抗断裂性能。含初始孔洞的单晶镍样品有最高的断裂强度和最强的抗断裂性能,这与孔洞扩展过程中堆积层错的形成密切相关。其次是含初始钝裂纹的样品,在裂纹扩展过程中出现由[100]超位错发射引起的裂尖钝化;含尖锐裂纹的样品表现为脆性断裂,裂尖原子没有出现微结构的变化,其强度和抗断裂性能最低。此外,不同的初始缺陷也会导致断裂过程中应力分布的变化,对含有尖锐裂纹的脆性断裂试样,高应力(拉伸应力、平均应力和米塞斯应力)总是出现在扩展裂纹的裂尖。而对于含有钝裂纹或孔洞的韧性断裂试样,高应力不仅分

布在裂尖,也分布在位错发射和堆积层错形成的区域,在裂纹/孔洞扩展之前,应力随着加载时间的增加而迅速增加,而一旦裂纹或孔洞开始扩展,应力增加非常缓慢或几乎不增加,但拉伸应力值始终大于平均应力和米塞斯应力值。这表明,在I型加载条件下,纳米尺度下材料的断裂由拉应力(正应力)控制。

 

图:含不同初始缺陷样品的几何形状

 

图:含不同初始十陷样品的原子应力-应变曲线和断裂强度。

 

图:I型载荷作用下含初始缺陷的单晶镍拉伸应力场变形云图

 

图:三种不同样品的微观结构特征

 

图:t=310s处不同初始缺陷样品的裂纹/孔洞张开位移和不同初始缺陷样品的裂纹长度随加载时间的变化

文五:

  
基于SPH法的返回舱入水载荷模拟分析

摘要:

返回舱水上着落前期面临较大砰击,为研究过程中受到的砰击载荷,基于光滑粒子流体动力学(SPH)气-液两相流算法,首先通过模拟平板和楔形体两种算例模型的入水过程,并与相关文献的试验结果进行对比,验证算法的有效性。在此基础上,对返回舱的入水过程进行模拟。结果显示,两种算例模型的计算结果与相关文献试验结果吻合良好。返回舱入水速度和倾角对砰击有较大影响并且过程中存在二次砰击现象。砰击载荷随入水速度增大而增加。第一次砰击载荷峰值随倾角增大而减小,第二次砰击载荷峰值随倾角增大先增后减。结果表明,SPH气-液两相流算法能够较好地模拟返回舱入水过程。

 

图:计算模型(单位:mm)

 

图:平板入水压力云图

 

图:楔形体入水过程中液面变化对比

 

图:返回舱模型

 

图:不同倾角下自由液面压力云图及姿态变化

来源:STEM与计算机方法
断裂复合材料碰撞建筑离散元裂纹理论自动驾驶材料分子动力学数字孪生控制
著作权归作者所有,欢迎分享,未经许可,不得转载
首次发布时间:2025-10-28
最近编辑:2小时前
江野
博士 等春风得意,等时间嘉许。
获赞 56粉丝 83文章 11课程 0
点赞
收藏
作者推荐

界面断裂与软物质力学的前沿研究分享

文一: 仿生叶脉启发的透气抗冲击可穿戴电子产品——具有健康监测、电磁干扰屏蔽和热管理功能摘要:透气且可拉伸的导电材料是医疗保健可穿戴电子设备的理想选择。然而,电子传感器的灵敏度和检测范围与简单功能电子学带来的挑战之间的权衡限制了它们的发展。在这里,受仿生叶脉导电路径的启发,将组装在非织造布(NWF)上的银纳米线(AgNWs)-Ti3C2Tx(MXene)杂化结构很好地夹在多孔聚硼硅氧烷弹性体(PBSE)之间,构建了具有高抗冲击性能和良好传感性能的多功能透气可穿戴电子产品。得益于高导电性的AgNWs-MXene杂化结构,NWF/AgNWs-MXene/PBSE纳米复合材料表现出高灵敏度(GF=1158.1)、宽监测范围(57%)、可控的热管理性能和优异的电磁干扰屏蔽效果(SET=41.46dB)。此外,由于PBSE具有良好的剪切硬化作用,NWF/AgNWs MXene/PBSE具有较高的能量吸收性能。结合深度学习,这种可呼吸的电子设备可以进一步应用于无线传感手套和多功能医疗带,这将推动电子皮肤、人机交互和个性化医疗监测应用的发展。 图:透气、柔性和保形多孔导电NWF/AgNWs MXene/PBSE夹层复合材料的制备。(A) 多孔导电NWF/AgNWs-MXene/PBSE夹层复合材料的制备工艺示意图。(B) NWF/AgNWs MXene/PBSE的SEM图像(横截面)。(C) NWF/AgNWs MXene/PBSE的光学图像(俯视图)。(D) PBSE的储能模量(G&#39;)和损耗模量(G&#39;&#39;)。(E)不同样品的水蒸气透过率(WVTR)的比较图。(F) 穿过可透气NWF/AgNWs MXene/PBSE的热水蒸汽的光学图像。(G)粘合剂和保形NWF/AgNW MXene/PBS的光学图像。 图:仿生叶脉MXene/AgNWs交替组装导电路径改性非织造布。 图:NWF/AgNWs-MXene/PBSE 复合材料的传感性能。 图:基于深度学习的BLE传感手套,用于抓握动作识别。(A) 抓握动作识别系统的总体结构和数据流。(B) 感应手套采集的不同抓握动作的光学图像和相应的阻力信号。(C) 信号分类模型的结构。(D) 深度学习后根据四个抓取动作嵌入t-SNE的聚类图像。(E) 信号分类模型的混淆矩阵。 图:多孔导电NWF/AgNWs MXene/PBSE夹层复合材料的EMI屏蔽能力。 图:基于BLE的多功能皮带,具有传感、抗冲击和热管理功能。(A) 具有精确热管理和BLE抗冲击传感功能的三层多功能皮带示意图。(B) 志愿者佩戴的腰带背面焦耳加热区域的光学图像。(C) 志愿者佩戴的皮带的正面照片,该皮带有一个前口袋用于存放电池,外部有一个数字电压调节器模块,用于在多个水平上调节温度。(D) 人体背部穴位图。(E) 通过可调电压模块(2-4 V)控制不同温升的皮带红外成像。(F) 红外成像带的固定加热区域由多分支和开关控制设计。(G) 通过内置电源和可控电路实现便携式运动皮带的红外成像。(H) BLE感应带的光学图像,具有脉冲电阻信号监测和过度用力报警功能。文二: 水凝胶中动态键引起的断裂容限摘要:在软材料中,具有动态键的水凝胶可以被一系列刺 激激活,包括温度、pH、红外或紫外光,构成了一类特殊的材料,具有不寻常的性能,如自修复、致动和可控降解。在这里,我们以具有可重构二硫键交联的水凝胶为例,研究其力学行为。我们证明,当二硫化物交联被紫外线照射激活时,该材料具有优异的抗断裂和疲劳性能。我们提出了一个简单的本构模型,描述了材料在各种条件下的力学行为。 图:动态粘合和应力消除。(a) 动态键重配置和应力释放的说明。(b) 以AAm为单体,BAC为交联剂合成了水凝胶。(c) 紫外线照射形成的自由基攻击二硫键,破坏和重整交联。(d) 应力-时间曲线显示了在紫外线照射下的应力松弛。(e) 使用偏振光显示应力轮廓的拉伸试样的双折射图像。 图:紫外线照射下水凝胶内新交联的破坏和形成。 图:拉伸实验。 图:在紫外线照射下进行的各种施加标称应力值的单轴蠕变实验。 图:具有动态键的水凝胶断裂。 图:动态水凝胶的疲劳。文三: 抑制锂离子电池电极分层的捕捉设计摘要:在大容量锂离子电池(LIBs)中,预锂化已得到深入研究。然而,优化LIBs的预硫化程度以延长其使用寿命仍然是一个挑战。基于一个关注电极界面分层的分析模型,揭示和讨论了预硫对抑制LIBs降解的积极作用,除了直接追求文献中广泛报道的高第一库仑效率外。对于全充放电循环,与没有预锂化的情况相比,精心设计的预锂化可以有效地抑制分层并将脱粘尺寸减小约25%。对于将部分充放电循环和预锂化相结合的策略,通过精心设计的预锂化,可以显著提高约100%的无脱粘的最大可逆容量。这项工作有望提供一种预锂化设计原理,并进一步提高LIB电极的机械稳定性。 图:浓度依赖性轴对称电极分层的图解。 图:充放电全循环预充电设计图。文四: 动态共价键水凝胶的缺陷敏感性摘要:动态共价键赋予聚合物独特的力学性能,如可调的粘弹性响应和自修复能力。关于动态聚合物断裂的研究最近开始了。然而,动态共价键如何影响动态聚合物的缺陷敏感性仍然难以捉摸。在此,我们制备了具有动态二硫键的聚丙烯酰胺水凝胶作为模型材料。在紫外线照射下,动态键交换反应有效地释放了集中在裂纹尖端的应力,使水凝胶对缺陷的敏感性降低。值得注意的是,动态水凝胶在紫外线照射下的断裂拉伸和断裂应力都远高于对照组。我们进一步研究了光引发剂浓度和动态键含量对动态水凝胶缺陷敏感性的影响。光引发剂浓度或动态键含量的增加增强了动态键交换反应,导致水凝胶的应力松弛和缺陷敏感性的提高。此外,我们利用这种缺陷不敏感性来调整具有双边裂纹的动态水凝胶中的裂纹传播路径。裂纹在未辐照区域扩展,但在辐照区域延迟,表现出不对称断裂模式。我们希望这项工作能为具有动态共价键的聚合物的设计提供新的见解。 图:具有动态共价键的水凝胶的缺陷敏感性。(a) PAAm链的化学结构,以及具有二硫键的交联剂BACA。(b) 二硫键交换反应示意图。在紫外线照射下,二硫键会随机断裂和重建。(c) 当预切割的水凝胶被拉伸时,应力集中在裂纹尖端附近。在紫外线照射下,应力链在裂纹尖端附近重新排列,应力松弛。(d) 预切割的动态水凝胶在紫外线照射下比没有紫外线照射下可以拉伸得更多。 图:有或没有紫外线照射的动态水凝胶的破裂。 图:通过选择性紫外线照射调节动态水凝胶的裂纹扩展。文五: 通过大规模桥接实现具有高抗脱粘性的可拉伸非均匀粘合摘要:可拉伸粘合对于软材料的实施至关重要,但由于断裂过程区的体积有限,目前可拉伸粘合剂的抗剥离性较低。在此,我们提出了一种策略,通过编程结构不均匀性调用大规模桥接来实现具有高抗脱粘性的可拉伸粘合。我们在软基质中布置具有高弯曲刚度的刚性段,使得软段起到可拉伸桥的作用以提供整体拉伸性,而刚性段起到刚性岛的作用以引发大规模桥接机制。我们通过使用聚丙烯酸丁酯-丙烯酸异冰片酯作为软段和聚甲基丙烯酸甲酯作为硬段来制备非均相粘合剂来验证这一原理。我们通过将刚性段的长度调节到桥接区的饱和尺寸来优化抗脱粘性,并与全软粘合剂相比获得了13倍的增强。作为概念验证,我们展示了一种可拉伸的灯带和一种用于缺口修复的可拉伸绷带。工程结构的不均匀性为设计具有高抗脱粘性的可拉伸粘合提供了一种替代方法。 图:具有高抗脱粘性的可拉伸非均质粘合剂的原理。(a) 显示一维/二维可拉伸粘合剂变形的示意图。(b) 以90为准◦ 剥离时,由于较小的局部断裂过程区,软段的抗剥离性较低,而由于较大的弯曲刚度和较大的桥接区,硬段的抗脱粘性显著增强。(c) 非均质粘合剂的典型力/宽度与位移的关系曲线。 图:原理验证。 图:片段长度的影响。(a) 刚性段长度的影响。(c) 软线段长度的影响。(d) 随着硬段长度的增加和软段长度的恒定,非均质粘合剂的力/宽度与位移的曲线。(e) 脱粘阻力是刚性段长度的函数。 图:可拉伸异构粘合剂在可拉伸电子产品中的应用。 图:可拉伸非均质粘合剂在伤口修复中的应用。 来源:STEM与计算机方法

未登录
还没有评论
课程
培训
服务
行家
VIP会员 学习计划 福利任务
下载APP
联系我们
帮助与反馈