首页/文章/ 详情

物质点法(material point method)最新的研究进展分享

15小时前浏览7

文一:

 

层状边坡湿化诱发不稳定性的物质点法分析

摘要:

降雨入渗或上游补给引起的孔隙水压力增加是滑坡的主要诱因之一,土壤分层对边坡的流体力学行为有显著影响。本文研究了由这些现象引发的非均质层状边坡的破坏和破坏后行为。特别是,将低渗透层嵌入具有不同倾角的参考边坡中,并评估不同饱和机制对破坏后行为的影响。为此,采用材料点法的非饱和公式再现了层状边坡的整个变形过程。结果显示了上游补给和降雨渗透的不同破坏和破坏后机制和运动学(即分别为自下而上和自上而下的饱和过程)。自下而上的饱和机制触发了在不稳定过程中几乎没有演变的深层失效机制。相反,自上而下的饱和机制会导致受低渗透层位置限制的预期浅层半平面破坏。这些失效的特点是速度快,并且在失效后过程中滑动面加深。两种润湿机制中的最终位移具有相同的数量级。由于在系统中连续注入水,观察到随后的再激活运动。

 

图:边坡不稳定性与不同的饱和机制有关: (a)通过典型的冰碛渗透的自上而下的饱和; (b)基岩上方层状土壤的双重状态,即夏季状态自上而下的“和冬季状态额外的自下而上的”通过基岩上方的径流。

 

图:对边坡几何和网格离散化的四个模型进行了分析。与水平面相比,低渗透层的倾斜度为25◦ 对于情况(a),20◦ 对于情况(b),15◦ 对于情况(c)和10◦ 对于情况(d)。坡度角始终不变,等于20◦。

 

图:分析中饱和路径的边界和初始条件:(a)上游补给,总水头固定在4.5m,以及(b)降雨,坡面上施加的压力为零。(c) 地下水位的初始位置,以及由此产生的初始孔隙压力分布。

 

图:在低渗透层倾斜25 ° 的情况下,当FS小于1时,LEM分析的孔隙压力分布. 润湿过程:(a)上游补给,(b)降雨。

 

图:在低渗透层角度等于25 ° 时系统动能和斜坡几何位移的演化。

文二:

 

静态液化引起的Fundão大坝破坏建模的物质点法

摘要:

够模拟边坡的渐进破坏以及处理涉及大变形的问题。在本研究中,使用MPM分析了2015年11月发生在巴西的Fundão大坝因静态液化引起的破坏。MPM程序Anura3D用于预测坝坡渐进破坏,并模拟破坏后产生的大变形。通过本研究的MPM分析获得的破坏面与通过对Fundão大坝边坡进行的两项独立研究提供的极限平衡分析(LEA)获得的破坏面进行了比较。从MPM获得的失效楔与从LEA获得的预变形失效表面显示出良好的一致性。然而,在模拟失效模式和对失效时发生的大散焦建模方面,MPM比LEA具有很大的优势。MPM方法的唯一缺点是它没有提供针对故障的安全系数值;然而,新方法仍然不成熟,可以很容易地进行改进,为边坡稳定性问题提供统一的分析工具。

 

图:方当大坝左边桥墩的总体方案显示了泥浆侵入原本用于沙子的区域。

 

图:物质点法的计算框架。

 

图:使用Anura3D进行数值建模的步骤,呈现预处理和后处理阶段。

 

图:大坝后部的侧向压力代表故障的触发因素。

 

图:从MPM模型分析获得的Fundão大坝溃坝随时间演变的固体 位移。

文三:

 

用两点MPM模拟漫顶和渗流引起的堤防破坏

摘要:

防洪堤是保护河谷免受洪水侵袭的重要工程,其稳定性至关重要。在本文中,我们应用物质点法(MPM)的两点两相公式来研究漫顶流作用下的堤防稳定性问题。这种方法已被纳入Anura3D软件(www.Anura3D.com)中。在该模型中,土壤和水的行为是在一个单一的框架中分析的,因此两相之间的相互作用是完全动态的。计算结果与实验室实验吻合较好。已经进行了参数研究,以检验各种堤防稳定措施的有效性。两点MPM在研究涉及强烈土壤/水相互作用的广泛现象方面显示出令人鼓舞的能力。

 

图:流入和流出边界条件示意图。

 

图:计算网格。

 

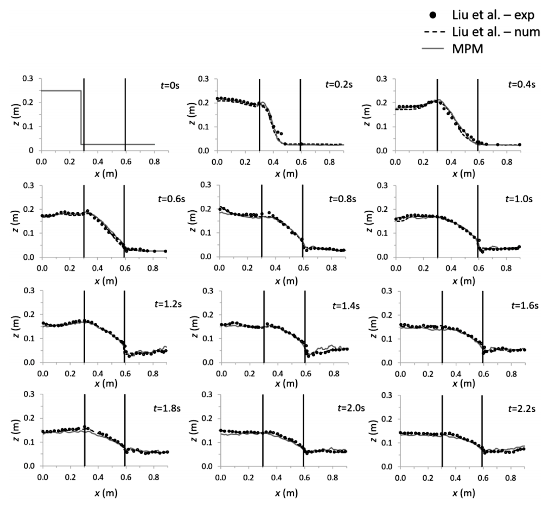
图:MPM结果与实验数据的比较。

 

图:参数研究中的计算网格和初始条件。

 

图:不同排水方式下堤防变形的比较。

 

图:不同BD长度的固体 位移(以米为单位)。

 

图:不同BD长度的排水量与时间的关系。

文四:

 

渗透边界上孤立波爬高的MPM模拟

摘要:

由于大量的能量耗散,波浪通过多孔培养基传播时会迅速减弱。因此,可渗透的装甲层吸收波浪能的能力对研究人员和工程师的重大兴趣引起了人们的极大兴趣。这项研究的目的是确定垂直和倾斜的渗透性屏障在最小化波浪中的有效性。确定保护性屏障功效的传统方法使用了小规模的物理模型。但是,这些价格昂贵,并且已被证明遭受了缩放问题的困扰,因此数值方法 正在越来越受欢迎。本文研究了使用材料点方法(MPM)修改可渗透屏障对孤立波的升级响应的平均晶粒大小的效果,该方法能够在拉格朗日框架内处理大型变形问题,并使用背景网格促进了管理方程的解决方案,并允许简单地强加边界条件。采用双点MPM,分别代表固体和液相相位的两组材料点,以准确模拟流体穿过实心骨架的情况,例如在多孔结构上的波升高的情况下。该研究中使用了MPM软件包Anura3d的多相版本(www.Anura3d.com),重点是改变多孔结构的组成颗粒的平均晶粒大小对垂直和倾斜的渗透性边界的孤立波升级。已经表明,随着平均晶粒尺寸的增加,可以大大降低渗透率,因此渗透率可以大大降低。拟议的研究可能有助于更好地了解多孔结构的波动量降低,并为沿海防御措施提供有用的设计指南。

 

图:(a)水柱与多孔坝相互作用的示意图;以及(b)初始MPM布局。

 

图:MPM结果与数值和实验数据的比较,用于跨越大坝的自由表面位移的时间历史。

 

图:浅层渗流通过土柱:(a)计算域的示意图设置(单位:m);(b) 计算渗流快照;以及(c)滨水位移的历史(分析:实线;MPM:圆形符号)。

 

图:使用MPM产生的结果与已发表的孤立波在不透水垂直墙上爬高的实验和数值数据的比较。

 

图:使用MPM得出的结果与已发表的不透水平面斜坡上孤立波爬高的理论和实验数据的比较。

 

图:可渗透海堤上孤立波的计算域。

 

图:在具有不同结构渗透性的垂直海堤上波浪上升期间自由表面的MPM模拟。

 

图:可渗透斜坡上孤立波的计算域。

文五:

 

基于物质点法的河道水位快速下降后堤防破坏前后特性研究

摘要:

河流水位的迅速下降对堤防的稳定性非常不利。本文采用材料点法(MPM)准确再现了河流快速水位下降后带砂土夹层的堤防的整个边坡破坏过程。通过对预破坏行为的分析,结合现场试验结果,揭示了这种堤防边坡破坏的触发机制,表明砂土夹层的存在是堤防失稳的主要原因。通过跟踪堤防边坡从破坏开始到终止的响应,将含砂土夹层的堤防边坡的破坏模式确定为渐进和倒退的破坏模式,浅滑动面和深层滑动面依次出现。参数研究表明,砂土的摩擦角、粘聚力、剪胀性和渗透性对堤防边坡的稳定性起着重要作用。还发现了砂土的渗透性与最大滑动位移之间的关系。面对快速的河流水位下降,临河坡面防护是这种有砂土夹层的堤防边坡最有效的防护措施,而传统的坡脚抛石防护效果有限。

 

图:显示MPM计算周期的示意图:(a)将信息从MP映射到计算网格节点;(b) 求解节点上的平衡方程并更新节点信息;(c) 通过节点值更新MP处的信息;(d) 重置变形的背景网格。

 

图:对西江水位骤降后堤防边坡破坏严重的地区进行了调查。

 

图:本研究中使用的MPM模型的几何结构和离散化,其中在堤防内的不同土层中分配了几个监测材料点,即A1~A4、B1~B4和S1~S4。

 

图:现场调查:(a)试验坑开挖的现场观测;(b) 从回填土和沙质土壤之间的边界通过钻孔溢出的渗透水。

 

图:通过MPM计算,(a)孔隙水压力、(b)平均有效应力、(c)偏应变和(d)快速下降的堤防破坏前阶段的位移的变化。

 

图:砂土和回填土界面两侧土壤的(a)孔隙水压力和(b)水头的演变。请注意,在Anura3D中,孔隙水压力被指定为正吸力。

 

图:有砂土夹层和无砂土夹层的堤防边坡在整个边坡破坏过程中位移发展的比较。

 

图:(a)偏应变和(b)通过MPM分析计算的快速水位下降堤防破坏后阶段孔隙水压力的变化。

 

图:两个滑动面内八个选定监测材料点的堤防边坡破坏过程中(a)速度、(b)位移、(c)累积偏应变和(d)孔隙水压力的演变。

 

图:MPM模拟结束时堤防几何剖面的比较。

 

图:堤防边坡防护措施示意图和MPM计算的相应措施下的最大滑动位移:(a)堤防边坡的表层土加固;(b) 防渗护面层保护;(c) 钢桩保护;(d) 堤脚抛石防护。


来源:STEM与计算机方法
理论自动驾驶材料数字孪生试验人工智能
著作权归作者所有,欢迎分享,未经许可,不得转载
首次发布时间:2025-11-01
最近编辑:15小时前
江野
博士 等春风得意,等时间嘉许。
获赞 56粉丝 83文章 153课程 0
点赞
收藏
作者推荐

岩石节理爆破模拟

岩石节理爆破模拟 来源:STEM与计算机方法

未登录
还没有评论
课程
培训
服务
行家
VIP会员 学习计划 福利任务
下载APP
联系我们
帮助与反馈