金属材料拉伸试验及工程意义
金属材料的拉伸试验曲线(通常指应力 - 应变曲线)是描述材料在单向拉伸载荷作用下,应力(σ)与应变(ε)关系的曲线,它直观反映了材料从弹性变形到最终断裂的全过程力学特性。不同类型的金属(如塑性材料、脆性材料)曲线形态差异显著,以下以典型塑性金属(如低碳钢) 为例,详细说明曲线的阶段划分及各阶段含义:

附图1 材料拉伸试验台

附图2 金属材料拉伸应力应变曲线
该曲线可分为弹性阶段、屈服阶段、强化阶段、颈缩与断裂阶段,各阶段对应材料不同的变形行为,曲线上的特征点具有明确的工程意义。
1. 弹性阶段(oa 段)
曲线特征:
应力与应变呈线性关系(符合胡克定律:σ=Eε,卸载后变形完全恢复。 关键参数:
a点对应的应力,是线性关系的临界点(超过此值后应力 - 应变不再严格成正比)
弹性极限(σₑ):
弹性变形的最大应力(略高于 σₚ,实际中常近似用 σₚ代替)。 物理意义:
材料仅发生弹性变形,原子间结合力未被破坏,卸载后原子回归平衡位置。
2. 屈服阶段(AC段)
曲线特征:
应力达到某一值后,应变急剧增加而应力几乎不变(出现 “平台” 或微小波动),此时材料发生塑性变形(卸载后变形无法完全恢复)。 关键参数:
屈服强度(σₛ)
屈服阶段的平均应力(对于有明显屈服平台的材料,取平台应力;无明显平台时,常用规定非比例延伸强度 σᵣ₀.₂,即塑性应变达 0.2% 时的应力)。
物理意义:
材料内部位错大量滑移,原子排列的完整性被破坏,塑性变形开始主导,这是工程设计中防止塑性变形的关键指标(如结构件通常要求工作应力低于 σₛ)。
3. 强化阶段(ce 段)
曲线特征:
屈服结束后,材料抵抗变形的能力随塑性变形增加而增强(“加工硬化” 现象),应力随应变继续上升,曲线呈上升趋势。 关键参数:
物理意义:
塑性变形使材料内部位错密度增加,位错运动受阻,需更高应力才能继续变形(加工硬化效应)。此阶段变形仍为均匀的整体伸长。
4. 颈缩与断裂阶段(ef 段)
曲线特征:
应力达到抗拉强度后,材料局部区域急剧变细(“颈缩现象”),变形集中在颈缩区,应力随应变增加反而下降,最终在 D 点断裂。 关键参数:
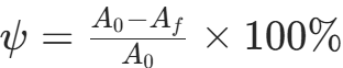
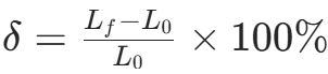
断后伸长率(δ):
断面收缩率(ψ):
断裂后颈缩区横截面积的缩减量与原始截面积的百分比:
物理意义
颈缩区应力集中导致局部变形过大,最终因拉应力超过材料的断裂强度而断裂,断口呈杯锥状(塑性断裂特征)。
拉伸曲线的工程意义
材料强度设计依据:
- 屈服强度 σₛ(或 σᵣ₀.₂):是结构设计中 “许用应力” 的核心依据(许用应力 = σₛ / 安全系数),确保材料不发生塑性变形。
- 抗拉强度 σb:反映材料抵抗断裂的能力,用于评估材料的承载上限(如零件过载时的断裂风险)。
材料塑性评估:
断后伸长率 δ 和断面收缩率 ψ 是衡量材料塑性的关键指标,塑性好的材料(如低碳钢)可通过塑性变形吸收能量,适用于需承受冲击或变形的场景(如汽车车身、压力容器)。
加工工艺参考:
强化阶段的加工硬化效应可指导冷加工工艺(如冷轧、冷拉),通过塑性变形提高材料强度(如钢筋冷拉后强度提升)。