首页/文章/ 详情

介质谐振器天线--介质谐振理论

2月前浏览101


由于介电谐振器天线 (DRA) 具有重量轻、外形扁平和高辐射效率等特性备受关注。在设计矩形 DRA 时,介电波导模型 (DWM)已被广泛用于确定 DRA 的谐振频率。然而,它的解涉及超越方程。因此,DRA谐振模式理论需要更深入的探索和简化。

目录



   
  • 矩形 DRA 的高阶模式    
  • 双模矩形DRA的设计公式    
  • 参考资料    

DRA

As shown below👇

矩形 DRA 的高阶模式

随着无线通信的快速发展,双频和宽带天线的使用比以往任何时候都更加广泛。

单波段矩形 DRA 的设计,在文章中有了简单的介绍:模式分析--矩形介质谐振器天线。为了实现多波段或者宽带介质谐振器天线,理解DRA的高阶模式也很重要。

 


图显示了TEy111,TEy112,TEy113(成像的)矩形 DRA 内的模式。参考图(b),E-field 的TEy113模式 非常强,它在z=0,即接地面所在的位置。但是由于E-field 应该在完美电导体 (PEC) 上消失,所以TEy112模式不能被激励,因此TEy113mode 用于双模设计。



双模矩形DRA的设计公式

双模矩形DRA设计与尺寸a、b和d有关。TEy111和TEy113模式的谐振频率分别由f1和f2表示。在DWM模型中,假设成像的DRA表面在x=±a/2和z=±d时是完美的磁导体(PMC)。由于使用了图像理论,因此不必考虑z=0时的PEC。利用两种模式之间的差异主要沿z方向的事实,波数kx1,x2和kz1,z2可以写成如下:

 

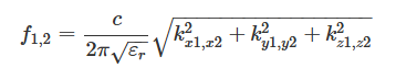
根据DWM模型,对于TEynml模式,实际的介电-空气界面被认为在y=±b/2时,因此我们有ky1≠ky2。然而,可以预期ky1≈ky2,因为TEy111和TEy113模的场主要在z方向上不同,因此横波数ky的变化相对较小。根据DWM模型,频率f1、f2由下式给出

 

通过观察,f1、f2之间的差值高度依赖于kz1、z2或d。为了具有宽带DRA,d应该更大,以使f1和f2彼此更接近。这使得能够合并这两种模式,从而可以拓宽带宽。相反,如果需要双带操作,则应使用较小的d。

 


 




参考文献



   

[1] X.-J. Wu, Z. Chen, H.-Z. Li, and T. Yuan, “Analysis of TE(z)-Mode Cluster in a Stacked Dielectric Resonator Antenna and Its Bandwidth Diversity Application,” IEEE Transactions on Antennas and Propagation, vol. 72, no. 4, pp. 3742–3747, Apr. 2024, doi: 10.1109/TAP.2023.3333970.

[2] M. Shehbaz, C. Du, D. Zhou, S. Xia, and Z. Xu, “Recent progress in dielectric resonator antenna: Materials, designs, fabrications, and their performance,” Applied Physics Reviews, vol. 10, no. 2, p. 021303, Apr. 2023, doi: 10.1063/5.0128779.

[3] S. Fakhte, H. Oraizi, and L. Matekovits, “High Gain Rectangular Dielectric Resonator Antenna Using Uniaxial Material at Fundamental Mode,” IEEE Transactions on Antennas and Propagation, vol. 65, no. 1, pp. 342–347, Jan. 2017, doi: 10.1109/TAP.2016.2627520.


来源:微波工程仿真
ACTANSA通信理论Electric
著作权归作者所有,欢迎分享,未经许可,不得转载
首次发布时间:2025-07-16
最近编辑:2月前
周末--电磁仿真
博士 微波电磁波
获赞 38粉丝 62文章 440课程 0
点赞
收藏
作者推荐

倏逝波与表面波

倏逝波通常与全反射现象相关,存在于低折射率介质一侧,且不传播能量,只是局域在界面附近;而表面波则是在界面处传播的波,能够沿界面传输能量,且其存在依赖于特定的材料属性组合,如金属和介质之间的表面等离子体激元。目录 倏逝波(Evanescent Wave) 表面波(Surface Wave) 参考资料 WaveAs shown below👇倏逝波(Evanescent Wave)在全反射条件下(如光从高折射率介质进入低折射率介质时),界面处产生的非传播电磁场,振幅随距离界面指数衰减。特点:不传输能量,仅局域在界面附近(约波长量级内)。存在于低折射率介质一侧。常见于全反射、波导、近场光学等场景。倏逝波的临界条件倏逝波的产生需要满足全反射条件,即入射角大于临界角,而临界角由两种介质的折射率决定 其中n1 > n2。超过临界角后,透射波消失,界面处形成倏逝波。倏逝波的穿透深度 总结:倏逝波(Evanescent Wave)通常出现在全反射情况下,当光波从高折射率介质进入低折射率介质时,如果入射角大于临界角,就会发生全反射。此时,尽管没有透射波,但在低折射率介质中会存在一个迅速衰减的电磁场,这就是倏逝波。倏逝波的特点是振幅随着距离界面呈指数衰减,不能有效传播能量,主要存在于界面附近很小的范围内。表面波(Surface Wave)沿两种介质界面传播的电磁波,能量集中在界面附近,随垂直方向衰减。特点:能沿界面传输能量,传播距离较远。需要特定材料组合(如金属-介质界面支持表面等离子体激元)。常见于纳米光子学、天线设计、生物传感等领域。临界条件表面波的激发需要满足特定的色散关系,例如对于表面等离子体激元,需要金属的介电常数为负,且与介质的介电常数满足一定关系(ε_metal < 0,且 |ε_metal| > ε_dielectric)。总结:表面波(Surface Wave)则是一种沿着两种不同介质之间的界面传播的电磁波,其能量集中在界面附近,随着远离界面而逐渐衰减。表面波的典型例子包括表面等离子体激元(Surface Plasmon Polaritons, SPPs),它们可以在金属和介质的界面上传播。表面波的传播需要满足特定的条件,例如介质的介电常数符号相反等。PS:可能存在一些混淆点。例如,表面波是否包含倏逝波成分?在表面波的传播过程中,垂直于界面的方向可能存在倏逝波式的衰减场,但表面波本身是沿界面传播的,而倏逝波更多指那些不传播、仅衰减的场。表面波在垂直于界面方向表现为倏逝场(指数衰减),但沿界面方向是行波(传播能量),因此表面波本质是传播波,而倏逝波是非传播的局域场。参考文献 [1] D. M. Pozar, 微波工程, 第三版. 北京: 电子工业出版社, 2015.[2] 徐锐敏, 微波技术基础(修订版). 北京: 科学出版社, 2009.来源:微波工程仿真

未登录
还没有评论
课程
培训
服务
行家
VIP会员 学习计划 福利任务
下载APP
联系我们
帮助与反馈